博弈论
0.目录
本篇文章梳理如下
- 一些概念
- 经典模型——巴什博弈,威佐夫博弈
- 博弈点搜索
- 组合博弈
- \(\tt Nim\) 游戏以及其拓展
- 删边博弈
- 博弈点搜索+(\(alpha\) - \(beta\) 剪枝)
- 博弈论总结
1. 概念
博弈论
概述:多个人在一定约束条件下,利用已掌握的信息\(^{[1]}\),使自身收益最大化的过程。全是抄的
公平
概述:每个人的操作是不是对等的。比如象棋就是不公平的,因为不能移动别人的棋子
信息对等
概述:每个人所掌握的信息是不是对等的。比如斗地主就是信息不对等的,因为你不知道别人手上的牌
\([1]\tt:\) 这是很重要的,因为有的题目你要站在当事人的角度分析,不能用旁观者的眼光对待。
2. 巴什博弈 & 威佐夫博弈
巴什博弈
题目:有 \(n\) 个石子,两个人轮流取,每次最多取 \(m\) 个,最少取 \(1\) 个,取完者获胜,问先手有没有必胜策略。
分析:作为大多数人都会的小奥题,它有一个很显然的解法:每次对方取 \(k\) 个,就取 \(m+1-k\) 个,第一次取 \(n\bmod(m+1)\) 个
显然:
\(\begin{cases}n\bmod(m+1)=0&\text{先手必败}\\n\bmod(m+1)\ne0&\text{先手必胜}\end{cases}\)
代码:
#include<stdio.h>
int main(){
int n,m;
scanf("%d%d",&n,&m);
if(n % (m + 1)) printf("1");
else printf("0");
return 0;
}
威佐夫博弈
题目:有两堆石子,两个人轮流去,每次可以从一堆中取若干个或从两堆中取相同的若干个,取完者获胜,问先手有没有必胜策略。
分析:
Step 1.枚举
由于先手有必胜策略的情况多于没有的情况,于是我们来枚举少数的情况。(为了方便,默认第一堆数量小于等于第二堆)
先手没有必胜策略的情况有:\((0,0),(1,2),(3,5),(4,7),(6,10)\cdots\)
规律:记第 \(i\) 项为 \((a_i,b_i)\),可得
\(a_0=b_0=0,a_i=\operatorname{mex}\{a_0,b_0,\dots,a_{i-1},b_{i-1}\},b_i=a_i+i,\operatorname{mex}\) 表示一个集合中最小没有出现过的自然数
于是任何自然数都一定包含在先手没有必胜策略的局面中(根据上文 \(\operatorname{mex}\) 规律可得)
通项公式下文再讲
Step 2.解法
如果给定一个局势 \((x,y)\),如何判断是不是必胜状态呢?
用上面的式子应算显然不可能,我们要考虑通项公式
通项公式:记 \(\phi=\) 黄金比的倒数 \(=\dfrac{1+\sqrt5}{2}\),则 \(a_i=\left\lfloor i\phi\right\rfloor,b_i=\left\lfloor i\phi^2\right\rfloor\)
于是代码如下:(威佐夫博弈模板)
#include<stdio.h>
#include<math.h>
int main(){
int n,m,t;
scanf("%d%d",&n,&m);
if(n > m) t = n,n = m,m = t; // 保证n<m
double phi = (1.000 + sqrt(5.000)) / 2.000; // 计算phi
if(florr(phi * (m - n)) == n) printf("0"); // n=a[m-n]=floor(phi*(m-n))
else printf("1");
return 0;
}
3.博弈点搜索
对于前两个经典博弈例子,都有神奇的 \(O(1)\) 公式,但有没有涵盖大部分博弈的解法呢,答案是:有!!
而且,还是每天都给我们帮助,让我们受益匪浅的——DFS!!
惊不惊喜意不意外 不过标题似乎就说明了
我们把 DFS 递归走到的状态理解为一棵 DFS 树,树上的每一个节点都是一种状态,把它称之为\(\,\)博弈树(其实是一个 \(\rm{DAG}\)(有向无环图),但是我们把由不同方法到达的同一种状态看为不同节点,就会得到一棵树)
DFS 过程:把状态放到 DFS 函数的参数里,并且为每一种状态打上标记,还可以用记忆化搜索优化已经搜索过的节点。
那标记呢?标记分为 \(P\) 和 \(N\)
- \(P:\text{Previous Position}\) 代表上一步的人赢,就是必败节点
- \(N:\text{Now Position}\) 代表这一步的人赢,就是必胜节点
那我们怎么标记呢?\(\tt4\) 条规则 \(\downarrow\)
- 终止状态是 必败点
- 一步只能到达 必胜点 的都是 必败点
- 一步只能到达 必败点 的都是 必胜点
- 一步可以到达 必胜点 和 必败点 的也是 必胜点
或者概括一下 \(\downarrow\)
- 终止状态标记为 必败点
- 一步只能到达 必胜点 的都是 必败点
- 一步可以到达 必败点 的都是 必胜点
为什么呢?(这里我们以 威佐夫博弈 为例,其它自己推导不难)
证明 \(\texttt{1:}\) 威佐夫终止状态为 \((0,0)\),是先手必败点。
证明 \(\texttt{2:}\) 定义这一堆为 \((a,b)\)
只取一堆。因为任何一个非 \(0\) 自然数只会在 \(a_i,b_i\) 中出现一次。如果 \(a=0\),则 \(b=0\),也是必败点。
两堆都取。如果两堆都取同样数量的石子,它们的差不变。而 \(b_i-a_i=i\),不存在 \(i\ne j\),使得 \(b_i-a_i=b_j-a_j\)。
证明 \(\texttt{3:}\) 定义这一堆为 \((a,b)\)
- 如果 \(a=b\),令 \(a\gets a-a,b\gets b-a\),变成必败点 \((0,0)\)
- 如果 \(a=a_i,b=b_i\),不满足 \((a,b)\) 是必胜点
- 如果 \(a=a_i,b\gt b_i\),令 \(b\gets b_i\),变成必败点 \((a_i,b_i)\)
- 如果 \(a=a_i,b\lt b_i\),令 \(a\gets a_{b-a},b\gets a_{b-a}+b-a\),变成必败点 \((a_{b-a},b_{b-a})\)
- 如果 \(a\ne a_i\),则一定 \(a=b_i\),令 \(b\gets a_i\),变成必败点 \((a_i,b_i)^{[2]}\)
\([2]:\) 根据 \(\operatorname{mex}\) 的定义,所有自然数都在 \(a_i,b_i\) 中出现过。
4.组合博弈
考虑一枚(或多枚)棋子,在一个 \(\mathrm{DAG}\)(有向无环图)中,两个人轮流将其进行移动 \(1\) 步,无法移动者输。
棋子可以理解为状态,有向无环图就是由不同的状态构成的有向无环图,移动就代表进入后继状态。
这里的博弈游戏中,定义 \(\operatorname{SG}\) 函数 \(\operatorname{SG}(x)=\operatorname{mex}\{\operatorname{SG}(y)\mid y\) 是 \(x\) 的后继状态集 \(\}\) (它的作用后面再说)
\(\operatorname{mex}\) 还是一个集合中最小没出现过的自然数
\(\operatorname{SG}\) 函数性质如下
- \(\operatorname{SG}(\)终止节点\()=0\)(因为它的后继状态集是空集)
- \(\operatorname{SG}(\)非终止节点\()\) 分两种情况来考虑
- \(\operatorname{SG}(x)=0\),则 \(\operatorname{SG}(y)\ne0,y\) 是 \(x\) 的后继状态集
- \(\operatorname{SG}(x)\ne0\),则存在 \(\operatorname{SG}(y)=0,y\) 是 \(x\) 的后继状态集
是不是和之前的必胜点和必败点有点像?其实对于一枚棋子移动的问题, \(\operatorname{SG}=0\) 就可以直接判断是必败点,反之为必胜点。
那如果是多枚棋子的移动呢?如果有 \(k\) 枚棋子,此时就会有 \(k\) 个局面 \(G_1,G_2,\dots,G_k\),那么它们的和 \(G\) 满足 \(\operatorname{SG}(G)=\operatorname{SG}(G_1)\operatorname{xor}\operatorname{SG}(G_2)\cdots\operatorname{xor}\operatorname{SG}(G_k)\)
扯了这么多,\(\operatorname{SG}\) 函数,如何计算?
答案就是\(\,\)DFS(和上面那个不是一个东西,上面就是纯粹 DFS,\(\operatorname{SG}\) 函数说白了还是一些规律)。
代码:好的相信你已经会了((
#include<stdio.h>
#include<string.h>
#include<vector>
const int maxn = 2001;
int SG[maxn],vis[maxn],n,m,k,ans = 0;
// SG就是当前的SG函数值
// vis[i]表示当前局面有没有SG值为i的节点,为了重复使用,让它记录上一次算出局面SG值为i的节点
std::vector<int> G[maxn]; // 图
void dfs(int x){
if(SG[x] != -1) return;// 已经算过就不算了
for(int i = 0;i < G[x].size();++i) dfs(G[x][i]);// 递归算子节点
for(int i = 0;i < G[x].size();++i) vis[SG[G[x][i]]] = x;// 给SG值打上标记
for(int i = 0;i <= n;++i) if(vis[i] != x){SG[x] = i;return;}// 最粗暴的mex计算方法
}
int main(){
memset(SG,-1,sizeof SG);// 默认没算过
memset(vis,-1,sizeof vis);// 默认为一个不存在的节点,0也行
scanf("%d%d%d",&n,&m,&k);
for(int i = 1;i <= m;++i){
int u,v;
scanf("%d%d",&u,&v);
G[u].push_back(v);// 注意是有向图
}
for(int i = 1;i <= k;++i){
int x;
scanf("%d",&x),dfs(x);// 每次都要dfs
ans ^= SG[x];// 直接异或就可以了
}
if(ans) printf("win\n");
else printf("lose\n");
return 0;
}
5.Nim游戏
\(\tt{Nim}\) 游戏规则如下:
有 \(n\) 堆石子 \(a_1,a_2,\dots a_n\),两人轮流从任意一组取若干个石子,谁取完谁赢,问先手有没有必胜策略。
解法:
\(\tt{Nim}\) 游戏作为组合博弈的一种,也有显然的 DFS \(\operatorname{SG}\) 函数解法,但是\(\,\)如果就这我还写这一类干嘛
更简单的方法
:\(\begin{cases}a_1\operatorname{xor}a_2\cdots\operatorname{xor}a_n=0&\text{先手必败}\\a_1\operatorname{xor}a_2\cdots\operatorname{xor}a_n\ne0&\text{先手必胜}\end{cases}\)
其中 \(\operatorname{xor}\) 表示异或运算 \(\oplus\)
证明:
这个解法成立需要满足三个条件:
- 终止状态是必败节点
- 由一个必败节点,无论怎么走都是必胜节点
- 由一个必胜节点,存在一种走法到必败节点
证明 \(\texttt{1:}\) 因为必败态 \(0\operatorname{xor}\cdots0=0\),所以成立
证明 \(\texttt{2:}\) 记我们要取的是第 \(i\) 堆,根据 异或 的性质,可得
而只有 \(a_i\operatorname{xor}a_i=0\) ,所以无论把 \(a_i\) 改成什么,都得不到必败状态
证明 \(\texttt{3:}\) 如果 \(a_1\operatorname{xor}a_2\cdots\operatorname{xor}a_n=x\),此时可以找到一个 \(a_i\),\(a_i\) 在 \(x\) 的最高二进制位上是 \(1\),那么 \(a_i\operatorname{xor}x\ge0\),于是令 \(a_i\gets a_i\operatorname{xor}x\) 即可
代码:
#include<stdio.h>
int main(){
int T;
scanf("%d",&T);
while(T--){
int n,res = 0;
scanf("%d",&n);
for(int i = 1;i <= n;++i){
int ai;
scanf("%d",&ai);
res ^= ai;
}
if(res) puts("Yes");
else puts("No");
}
return 0;
}
Anti-Nim 游戏
规则:与 \(\tt{Nim}\) 一样,不过是取完者败。
于是我们脑袋里出现一个显然的思路:把上一份代码 Yes 和 No 反过来。不过你以为就会这么简单?
假如有一堆,两个石子,如果用如上思路,先手直接取两个然后自己让自己输掉。但最佳策略应该是先取一个让对方输掉。
结论:
- 石子堆数异或和 \(=0\) 且每堆只有 \(1\) 个石子为必胜状态
- 石子堆数异或和 \(\ne0\) 且至少一堆石子个数大于 \(1\) 为必胜状态
- 其余都是必败状态
证明:
证明 \(\texttt{1:}\) 只有偶数堆 \(1\) 才能异或得 \(0\),两人每次取一堆,后手取最后一堆,先手必胜。
证明 \(\texttt{2,3:}\)
只有一堆石子个数大于 \(1\)(情况 \(\tt2_1\))
- 有偶数堆 \(1\),可以把大于 \(1\) 这堆取完,那么就会剩下奇数堆 \(1\),再加上是后手先走,先手必胜。
- 有偶数堆 \(1\),如果想异或和为 \(0\),剩下那堆必须为 \(0\),不可能
- 有奇数堆 \(1\),可以把大于 \(1\) 这堆取得剩下 \(1\) 个,那么就会剩下奇数堆 \(1\),再加上后手先走,先手必胜。
- 有奇数堆 \(1\),如果想异或和为 \(0\),剩下那堆必须为 \(1\),矛盾
于是定理 \(\tt2\) 得到证明。
有多堆石子个数大于 \(1\)(情况 \(\tt{2_2}\texttt{,3}\))
- 异或和为 \(0\),此时随便怎么走都会转化为异或和不为 \(0\) 的状态。那么一定可以转化为两种情况
- 有大于等于两堆的石子个数 \(\gt1\),变成下面的情况 \(\tt3\downarrow\)。
- 有一堆石子个数 \(\gt1\),这就是已证的定理 \(\tt{2_1}\)。
- 异或和不为 \(0\),此时根据 \(\tt Nim\) 的证明,必然存在一种变成异或和为 \(0\) 的走法。(这是情况 \(\tt3\))
代码:
#include<stdio.h>
int main(){
int T;
scanf("%d",&T);
while(T--){
int n,res = 0,cnt = 0;
scanf("%d",&n);
for(int i = 1;i <= n;++i){
int x;
scanf("%d",&x);
res ^= x,cnt += x > 1;
}
if(res == 0 && cnt == 0) puts("John");
else if(res && cnt) puts("John");
else puts("Brother");
}
return 0;
}
S-Nim
这个名字来源于 一道题。
题意:\(\tt{Nim}\) 游戏,但是每次可以取的石子数量必须是 \(s_1,s_2,\cdots,s_k\) 中的一个。
解法:这题没有 \(O(1)\) 解法,于是直接 DFS \(\operatorname{SG}\) 值即可。
注意两点优化:
- 先把 \(s\) 数组排好序,这样 DFS 的时候,找到 \(s_i>x\) 就直接退出,节省时间
- 每 \(m\) 组测试样例并不是相互独立的(因为这 \(m\) 组数据的步数集都是相同的),可以在读入样例的开头先把 \(\operatorname{SG}\) 数组清空为 \(-1\)。(这卡了我好久)
放代码:
#include<stdio.h>
#include<string.h>
#include<algorithm>
inline int Read(){
register int x = 0,f = 1,c = getchar();
for(;c < 48 || c > 57;c = getchar()) f = c == 45 ? -1 : 1;
for(;c >= 48 && c <= 57;c = getchar()) x = x * 10 + (c ^ 48);
return x * f;
}
int SG[10001],step[101],vis[10001],n,m,k,ans = 0;
void dfs(int x){
if(SG[x] != -1) return;
for(int i = 1;i <= k && step[i] <= x;++i) dfs(x - step[i]);
for(int i = 1;i <= k && step[i] <= x;++i) vis[SG[x - step[i]]] = x;
// 注意上面的 step[i] <= x,可以节省时间(因为排了序在step[i]不行时直接退出循环)
for(int i = 0;;++i) if(vis[i] != x){SG[x] = i;return;}
}
int main(){
while(k = Read()){
for(int i = 1;i <= k;++i) step[i] = Read();
std::sort(step + 1,step + k + 1);// 排序!!
m = Read();
memset(SG,-1,sizeof SG);// 在m组数据开头清空即可
while(m--){
ans = 0,n = Read();
for(int i = 1;i <= n;++i){
int x = Read();
dfs(x);
ans ^= SG[x];
}
if(ans) putchar('W');
else putchar('L');
}
putchar('\n');
}
return 0;
}
6. 删边博弈
Easy VERSION
什么毒瘤题,还分 Easy Vision
题目:给定一棵有根树,两个人轮流从树上删边,每删一条边,不与根相连的一部分也会被删去,谁不能再删谁输,问先手有没有必胜策略。
结论:叶子结点的 \(\operatorname{SG}\) 函数值为 \(0\),其它的节点的 \(\operatorname{SG}\) 函数值为其所有子节点的 \(\operatorname{SG}\) 值 \(+1\) 后的异或和
Q.这么奇葩的结论,怎么让我想?
A. 可以先写 DFS,然后再分析找规律。
注意:学会用 DFS(也就是前文的博弈点搜索)是非常重要的解题方法,你甚至还可以自己模拟搜索。
让我们来看看如何这条定理证明
数学归纳法证明如下:
一:只有一个或两个节点时显然成立
这个很显然,只有一个节点,其 \(\operatorname{SG}\) 值就是 \(0\),是必败节点,对的。
有两个节点,\(\operatorname{SG}(rt)=1,\operatorname{SG}(lf)=0\),那么 \(rt\) 是必胜节点,\(lf\) 是必败节点。
二:当点数不超过 \(n\) 时定理成立,\(n+1\) 个节点定理也成立
两种情况:
根节点有一个儿子 \((1)\)
根节点不止一个儿子 \((2)\)
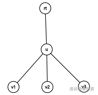
\((1):\) 假设树长这个样子:

设这棵树为 \(T_\text{原}\),删边后 \(T\),\(T_\text{原}\) 以 \(u\) 为根的子树为 \(T'\)。
删一条边,也分两种情况
- 删边 \(\{rt,u\}\),此时只剩下根节点,\(\operatorname{SG}(T)=0\)
- 删 \(T'\) 中的一条边 \(E\),此时因为删边后点数会小于 \(n\),所以此时定理成立,那么 \(\operatorname{SG}(rt)=\operatorname{SG}(u)+1\)。
那 \(\operatorname{SG}(u)\) 的范围是多少呢?
设 \(\operatorname{SG}(u)=k\),则 \(T'\) 的后继局面中的 \(\operatorname{SG}\) 值必定包含了 \(\left[0,k\right)\) 的所有自然数,范围就是 \(0\sim k-1\)(因为一个局面的 \(\operatorname{SG}\) 值等于其后继局面 \(\operatorname{SG}\) 值的 \(\operatorname{mex}\))。所以 \(\operatorname{SG}(T)\) 可以取遍 \(1\sim k\)。
算上第一种情况,删边后 \(\operatorname{SG}(rt)\) 的范围是 \(0\sim k\),取遍了 \(\le k+1\) 的自然数,于是删边前 \(\operatorname{SG}(rt)=k+1\)
于是 \(\operatorname{SG}(rt)=\operatorname{SG}(u)+1\) 得证。
\((2):\) 此时的图可以拆成若干个根节点相同但 \(u\) 不同的和上图相同的树,此时就和 \(\tt{Nim}\) 一样,异或起来即可。
Hard VERSION
最毒瘤的东西来了。。。
题面完全一样,只不过树变成了一个图。只能放定理了:
\(\sf{F\color{red}usion\text{ }Principle}\) 定理如下:
把图中任意一个偶长度环缩成一个新点,任意一个奇长度环缩成一个新点加一条边,所有连到原先环上的边全部改为与新点相连。这样的改动不会影响图的 \(\operatorname{SG}\) 值
证明是什么?我不会
事实上这种题考的挺偏,而且一出就是板子,在 \(\texttt{NOI}\) 赛场上也几乎不可能碰到。
7. 博弈点搜索+
之所以这样安排顺序,是因为这个东西有相比起普通的博弈点搜索难不止亿点点。
极大极小搜索 & \(alpha\) - \(beta\) 剪枝
来看一个栗子:
题目:给定一个图,图上包含一些虚边和实边,两个人轮流每次把一条虚边变成实边,这个人的得分就会加上新产生的三角形数。
Pay Attention: 这只是其中一个栗子,\(\alpha\) - \(\beta\) 剪枝可以概括为:两个人博弈,甲想让自己的利益最大化,乙想让甲的利益最小化。
分析:
这种题没有技巧,只能爆搜。但这并不影响我们在爆搜时使用技巧!!
DFS 技巧,常用的就是\(\,\)记忆化搜索,可行性剪枝,最优性剪枝。
记忆化显然不可能,可行性剪枝放到这里来是什么鬼((??于是考虑最优性剪枝。
假如选一个点,并且定义去这个点后甲的得分减去乙的得分为 \(f(x)\)。作为甲,希望它最大;作为乙,希望它最小,于是定义 \(\max(f)=\alpha,\min(f)=\beta\)(点题的写作手法)
再来定义甲的局面为 \(max\) 局面,乙的局面为 \(min\) 局面。
考虑这一步到甲,是 \(max\) 局面,显然这个局面会继承上一步的 \(\beta\),而甲会把它走成 \(\alpha\) 的情况。
但是如果 \(\alpha(now)>\beta(prev)\),说明这条路线不是最优,\(prev\) 的其它后继状态也可以不用再搜了。
为什么?说白点,这个局面满足以下条件之一
乙想让甲得分更小,甲却得到了比乙给甲的最小得分还大的得分;这时乙本可以给甲更小的得分,原来的方案不是最优方案。
又或者甲想让自己得分尽量大,却给乙一个比甲现在得分要少的局面;显然这让自己得分更少,原来的方案也不是最优方案。
两个不都是一样的吗
但是这种东西你需要两方都去考虑 虽然让自己利益最大就等于让别人利益最小
经过剪枝,最后剩下的都是最优决策。
于是这种搜索叫极大极小搜索,这种剪枝叫做 \(alpha\) - \(beta\) 剪枝。(呼应开头,画龙点睛)
8. 总结
博弈论这种东西,可以分类为:
- 巴什博弈、威佐夫博弈、\(\tt Nim\) 以及 \(\texttt{Anti-Nim}\) ,这种东西有 \(O(1)\) 公式,其余大部分都没有
- 用到 \(\operatorname{SG}\) 函数的游戏(包括大部分 \(\tt Nim\) 拓展):运用 \(\operatorname{SG}\) 函数 DFS 计算方法,牢记 \(\operatorname{mex}\)。
- 博弈点搜索以及其拓展 极大极小搜索 :前者有可能用到,记忆化搜索,后者有专门的最优性剪枝

浙公网安备 33010602011771号