FDS 第一章 引论
一、课本两例
1.数的选择问题
给定一列数(个数为N),寻找第k个最大者。
2.字符游戏
给定N×M的字母表格,查找是否存在目标单词(组合方式可以是横行、竖行或斜行,也有可能是从右往左读的)
二、必备数学知识
1.指数、 对数相关知识(略)
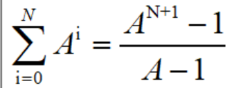
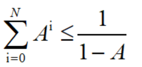
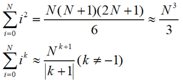
2.关于数列求和......

当0<A<1时,有:

此外:

特别的,当k=-1时:

三、递归简论
递归四条基本法则:
1.基准情形:必须有某些不需要递归就能求解的基本情形。
2.不断推进:求解方向须朝着基准情形不断推进。
3.设计法则:所有递归调用都能正常进行。
4.合成效益法则(compound interest rule):在求解同一问题时,切勿在不同递归调用中做重复性工作。
浙公网安备 33010602011771号