1.MA简介
11.24-VCG课堂笔记
1. VCG与SPSB的关系
a.SPSB的问题:只能处理有一个item的拍卖,当多个拍卖时有两种可能:1.如果拍卖的商品无关,则多次执行SPSB即可,2.多个商品之间存在关联时,则不可行。而VCG就能解决多个商品的拍卖问题呢。
2. VCG基础信息介绍(用形式化语言表述)
a. 形式化表述:

因为这个问题可以顺序求解,所以可以分成两步走,即先解决分配问题(allocation problem),再解决定价问题(pricing design problem)。 补充:问题的求解可以有多种方法,如Sequencial,iterative。iterative的上一步会对下一步有影响,所以可以不断地迭代来处理问题。当然最后需要考虑是否会收敛。
补充:背包问题(knapcake problem),求解方法很多,有动态规划(dp),分支界定(Branch-and-Bound),这些方法我再单独开个帖子学习一下。【学!!!】

c.P2(另外开帖子学习):
略
d.P3:pi公式

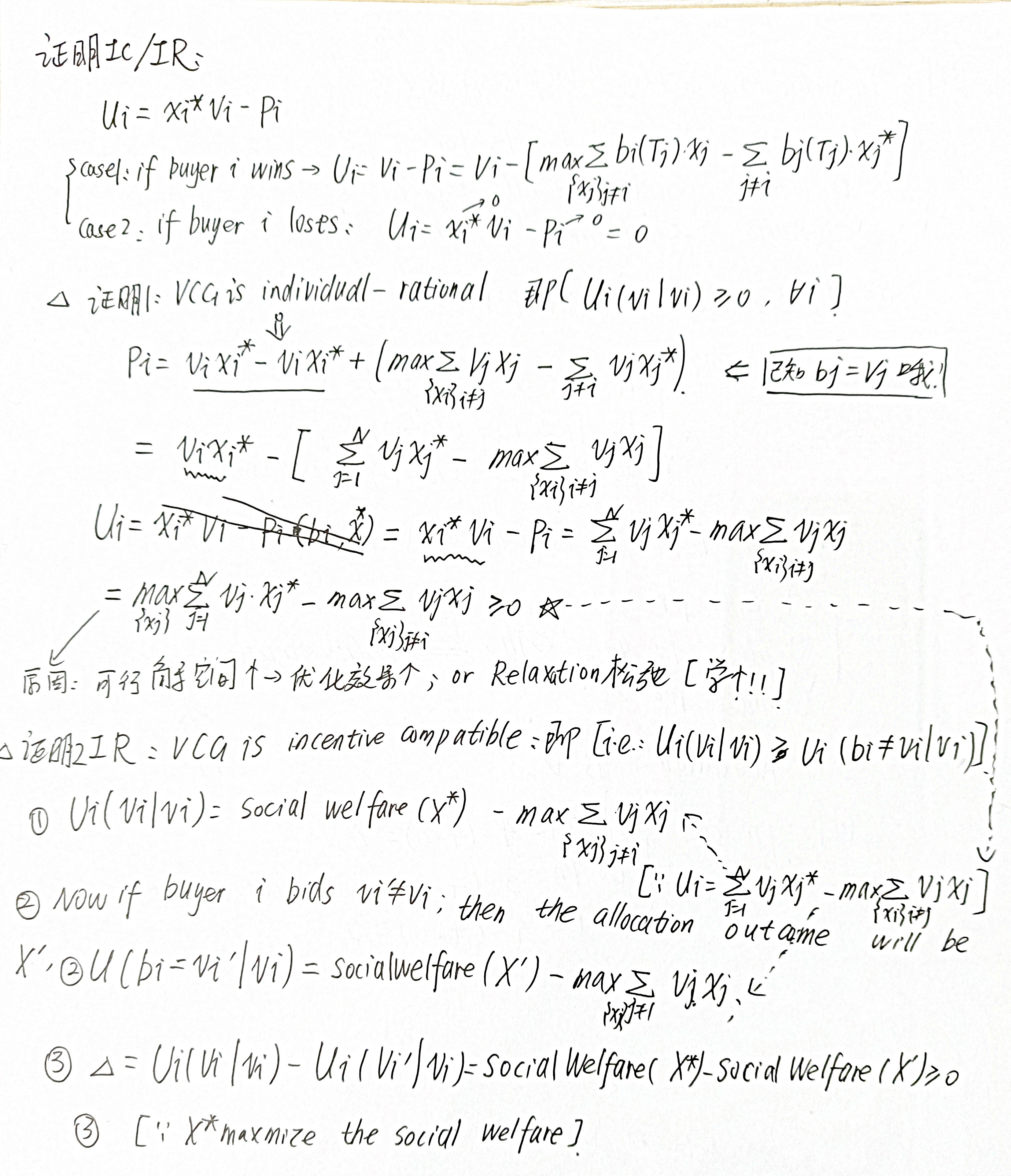
e.P3:IC/IR的证明

补上上节课Ui的推导公式:
