会员
众包
新闻
博问
闪存
赞助商
HarmonyOS
Chat2DB
所有博客
当前博客
我的博客
我的园子
账号设置
会员中心
简洁模式
...
退出登录
注册
登录
zc-study-xcu
博客园
首页
新随笔
联系
订阅
管理
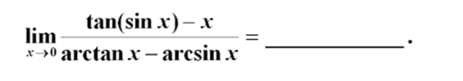
高数每日一题第214题打卡
每日一题
法一(暴力泰勒):
法二(等价代换):
法三(拉格朗日求极限):
posted @
2025-06-11 10:20
xcuzc
阅读(
5
) 评论(
0
)
收藏
举报
刷新页面
返回顶部
公告