会员
众包
新闻
博问
闪存
赞助商
HarmonyOS
Chat2DB
所有博客
当前博客
我的博客
我的园子
账号设置
会员中心
简洁模式
...
退出登录
注册
登录
zbxing
博客园
首页
新随笔
联系
订阅
管理
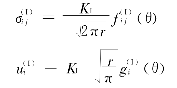
应力强度因子
各种类型裂纹尖端附近的应力场和位移场有相似之处,可将它们简写为如下形式:
从式中可看出应力场有如下特点:
应力强度因子是有限量,不代表某一点的应力,而是代表应力场强度的物理量!
应力强度因子一般可写为:
posted @
2025-03-26 21:21
Carlos11
阅读(
69
) 评论(
0
)
收藏
举报
刷新页面
返回顶部
公告