张量计算符
张量有加、减、点乘、叉乘、并乘运算
1、张量的加减:即对应的分量加减;

2、张量的点乘(缩并)
点乘是降阶的!
假如a有4阶,b有2阶,那么a点乘b得到的就是4-2=2阶
假如a有2阶,b有1阶,那么a点乘b得到的就是2-1=1阶(矩阵乘向量)
假如a有2阶,b有2阶,那么a点乘b得到的就是2-2=0阶(矩阵乘矩阵)
假如a有1阶,b有1阶,那么a点乘b得到的就是1-1=0阶(向量乘向量)
所以我们还明白了:点乘结果的阶数就是阶数大的减去阶数小的。

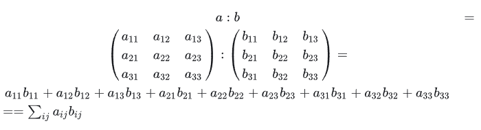
3、二阶张量的双点积
向量(也就是一阶张量)的点乘都写成一个点的点积。
而二阶张量的点乘都写成两个点的点积。如 a:b, 假如写上下标就是 aijbij
ij都是哑标,直接就加没了。所以两个2阶张量点乘的结果是0阶张量,即一个数,或者说是标量。
为什么要写两个点呢?这是因为有两个下标被爱因斯坦求和约定给求和了,同时它又是两个二阶的张量相乘,所以就写成两个点。
双点积应该很常见,因为它其实就是两个矩阵对应分量一对一的相乘。
假如写成矩阵形式的话,

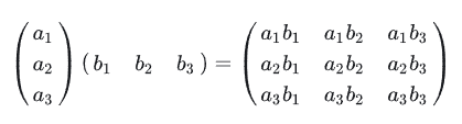
4、张量的并乘(张量积)
并乘是升阶的!
并乘结果的阶数就是阶数之和。

并乘除了写圈圈里面一个叉子,还可以什么都不写,就紧贴着。
ab = aibj
可以想象,i和j都是自由下标,结果为2阶张量,所以这其实是9个分量

向量并乘又被称为外积(outer product)(与内积相对应)
矩阵并乘又被称为克罗内克积(kronecker product)
张量的并乘又被称为直积(direct product),或者就叫张量积(tensor product)。
(PS 张量积这种说法比较普遍)
5、张量的叉乘
叉乘是不升不降的。
例如向量的叉乘

这里ei代表坐标轴的单位向量
eijk叫做置换符号(又叫Racci符号)


6、克罗内克三角(函数)(Kronecker delta)
它是一个二阶张量

可见,它其实就是单位阵。
可用克罗内克三角来化简许多运算
他有一条很好的性质,那就是他能换下标。
比如
其实这个换了相当于没换,因为只有一个下标。假如有两个,那就有区别了

可见后面那个 \(\delta\) 把 b 的下标 j 换成了下标 i

浙公网安备 33010602011771号