工程数学第一章复习文档
第一章:
1.符号定义:
x:决策变量
f(x):目标函数
Ci(x):约束函数
Ci(x)=0:等式约束
Ci(x)<=0:不等式约束
min:求极小值
s.t.:受限于
2.向量内积的计算


若两个向量内积为0,则称两向量正交。
- 矩阵
对于任意向量x不等于0:
若方阵A满足x的转置左乘A左乘x>0,称A为正定矩阵
若方阵A满足x的转置左乘A左乘x>=0,称A为半正定矩阵
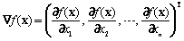
- 梯度:

- Hesse矩阵

- 凸集

6.凸函数

若 −f(x)为凸函数,则称 f 为凹函数; 若 −f(x)为严格凸函数,则称 f 为严格凹函数
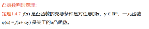
7.凸函数判别定理



浙公网安备 33010602011771号