点集
- 点的集合。
布尔代数
- 布尔代数起源于数学领域,是一个用于集合运算和逻辑运算的公式:〈B,∨,∧,¬ 〉。其中B为一个非空集合,∨,∧为定义在B上的两个二元运算,¬为定义在B上的一个一元运算。
闭合图
- 定义一个有向图G=(V,E)的闭合图是该有向图的一个点集,且该点集的所有出边都还指向该点集。
- (可以理解为班级G中有一个小团体,这个小团体内部的人只和这个小团体里的人有关系)

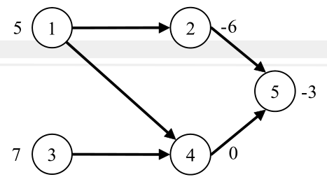
- 该网络有 9 个闭合图(含空集): ∅ , {3,4,5} , {4,5} , {5} , {2,4,5} , {2,5} ,{2,3,4,5}, {1,2,4,5}, {1,2,3,4,5}。
最大权闭合图
- 给每个点一个权值,点权之和最大的闭合图就是最大权闭合图。
- (学习成绩整体最好的小团体)

- 其中有最大权和的闭合图是 {3,4,5} ,权和为 4。
密度
- 定义一个无向图G=(V,E)的密度D为该图的边数
与该图的点数
的比值
。
- (丝织品上图案的疏密程度)
最大密度子图
- 无向图G=(V,E)中具有最大密度的子图G'=(V',E')称为最大密度子图,即最大化
。
- (丝织品上图案最密集的区域)

简单割
- 若一个s-t割满足割中的每条边都只与源s或汇t关联,称该割为简单割。
参考资料:
- 《最小割模型在信息学竞赛中的应用》 胡伯涛