会员
众包
新闻
博问
闪存
赞助商
HarmonyOS
Chat2DB
所有博客
当前博客
我的博客
我的园子
账号设置
会员中心
简洁模式
...
退出登录
注册
登录
zaiyewujiang
博客园
首页
博问
闪存
新随笔
订阅
管理
函数极限
函数自变量趋近于无穷时函数的极限;函数自变量趋近于无穷大和无穷小时函数的极限;函数极限的性质;函数自变量趋近于有限值时函数的极限
定义函数自变量趋近于无穷时
函数自变量趋近于无穷大和无穷小时
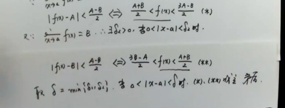
函数极限的性质
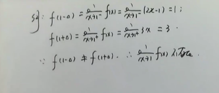
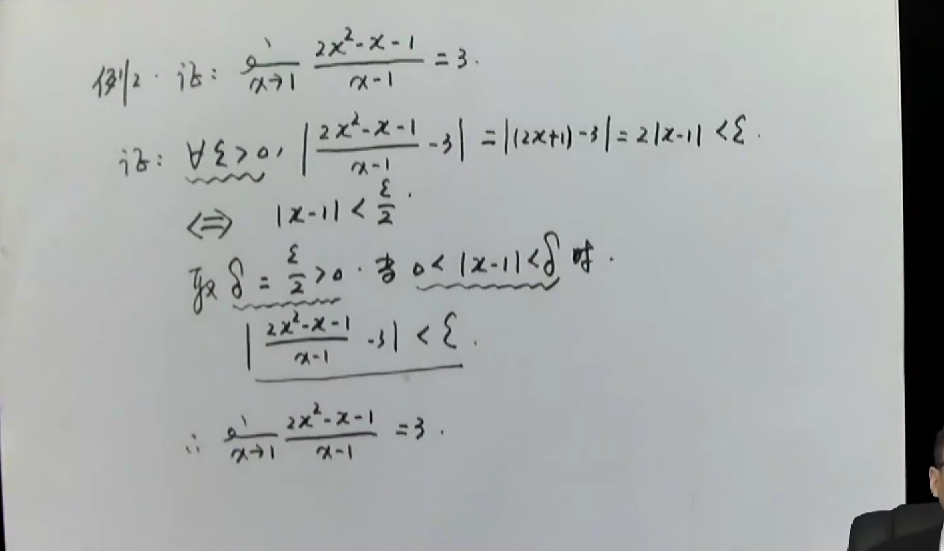
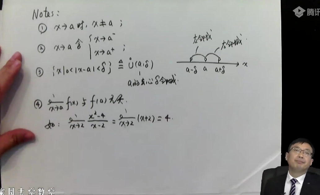
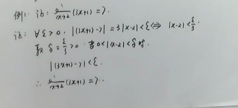
函数自变量趋于有限值时函数的极限
总结趋于有限值时有自变量推伊普希冷,趋于无限值时由因变量公式推出自变量小于多少时原函数和极限值之差小于伊普希冷。
posted on
2023-03-06 19:18
在野武将
阅读(
93
) 评论(
0
)
收藏
举报
刷新页面
返回顶部