sqrt是平方根函数

 

 

 

 

 

 

 

 

 

 

 

 

 

 

 

 

 

 

 

 

 

 

 

 

 

 

 

 

 

 

 

 

 

 

 

 

 

 

 

 

 

 

 

 

 

 

 

 

 

 

 

 

 

 

 

 

 

 

 

 

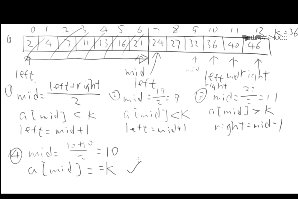
 搜36

 

 

 

 

 

 

 

 

 

 

 

 

 

posted on 2023-02-27 17:50  在野武将  阅读(31)  评论(0)    收藏  举报