定理
实数的定理:
任意实数都存在,都存在唯一的整数m,使得m<=x,且m<m+1;
对任意实数a>0,b>0,可以取适当的自然数
使得n*a > b;
任意两个实数之间都存在有有理数(有理数的稠密性)
绝对值的运算
a:|a|
当a>=0,|a|=a;
当a<=0,|a|=-a;
反应了a到0的距离
;
|a|=0——>a=0;
|a+b|<=|a|+|b|;
|a*b| = |a| * |b|;
函数性质
单射:y=kx+b,一个x只对应唯一一个y,但y可以对应多个x
一一对应:若x1!=x2,则y1!= y2(只有一一对应函数才有反函数)
函数的有界性
非空实数集E中,有实数M,m
若存在实数M,满足有X属于E,且X小于等于M,则称M是E的上界,并称E是有上界的集合
若存在实数M,满足有X属于E,且X大于等于m,则称m是E的下界,并称E是有下界的集合

如果一个集合既有上界又有下界,则称之为有界,该集合为有界集
上确界:集合的最小上界
下确界:集合的最大下界

数字化定义:
如果存在这样一个实数B,满足:
1:任意x属于E,有x<=B
2:对于任意正实数w,存在E中任意数X0 >= (B-w)
那么就称B是E的上确界
记为B=supE或sup{x} ,x属于E(下确界是infE)
上确界不一定在集合中,比如(0,1)在supE=1
确界原理:
非空数集中有上界必有上确界;
非空数集中有下界必有下确界
证明:
设有非空有上界实数集合E
如果E有最大数,结论一定成立,因为这个数就是上确界
如果E无最大数,用T表示E所有上界全体,则T交T补=空,T并T补=R
对任意t属于T补,因为t不是E的上界,由此存在X0属于E,使得t<X0
任取t1属于集合T,由此有X0<=t1,
所以有t<t1
由戴德金分割原理:
t有最大数t1无最小数;
t无最大数t1有最小数。
如果后者成立,则有上界一定有上确界
如果前者成立,记a为t中最大数
由E∩T=空集,则E属于T补,则a是E的上界,由此a∈T,所以a∈T∩T补,而T∩T补=空集,这产生了矛盾,所以不会出现a是t中最大数的情况
由此可证:
有上界一定有上确界
证明:
非空数集中有下界必有下确界
设有非空实数集E有下界
将E中每个元素*-1,则E变为有上界的非空数集F,而有上界一定有上确界,
∴F一定有上确界β,
∴X∈E,有-x<=β,
∴有x>=-β
而任给正数c,存在X0∈E,有-X0 > β-c
∴X0 < -β + c
由下确界的意义可得
-β是E的下确界
-β=inf E;
函数的单调性

意味着常值函数也是单调函数

定理1.1
若y=f(x),x属于D
是严格单调函数,则一定有反函数
且反函数严格单调
反之不成立(即有反函数不一定有严格单调函数)

函数的奇偶性

奇函数f(0)=0

函数的周期性


判断函数相同的条件


函数分类一次和二次函数




-(b/2a)>0开口向上,<0开口向下






幂函数

幂函数系数一定为:1












指数函数










对数函数















换底公式



三角函数
最常见的是sin,cos,tan,cot,secant(简称sec)=(1/cos(x)),cosecant(简称csc)=(1/sin(x))





反三角函数




特殊函数
1:取整函数 :[x]

x-1 < [x] <= x;
一个数进行取整的结果要小于等于原数大于原数减一;
[2.1]=2;
[-2.1]=-3;


比如[1.5 + 1.5] = 3 > [1.5] + [1.5] = 2
2:绝对值函数与符号函数

3:迪利克雷函数

初等函数
由常数与基本初等函数由有限次的四则运算与复合运算而成的函数

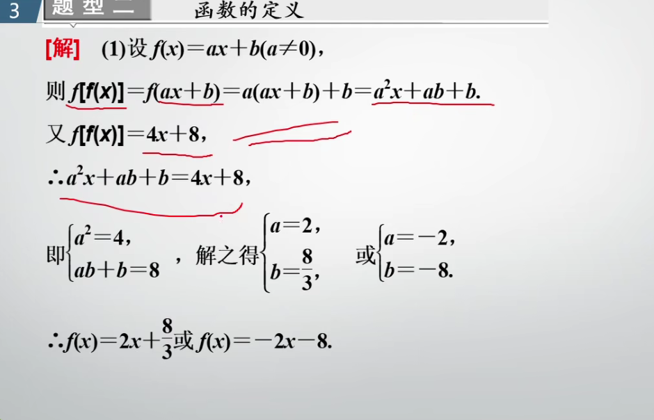
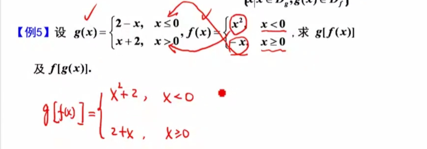
复合函数
设有函数y=f(u) ,且u∈D(f);
u=b(x),且u∈R(b)。
复合函数y=f(b(x))的成立条件为
D(f) ∩ R(b) != 空集
即存在u使得(y=f(u)成立∩ u=b(x))为真(里面函数为真,外面函数也为真)
不如则会出现:

证明复合函数:
如果
y=f(u) ,且u∈D(f);
u=b(x),且u∈R(b);
即y=f(b(x)定义域为空集则不能复合
例:




反函数
反函数的定义域就是原函数值域






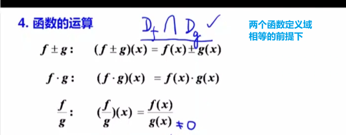
函数的运算 
重点
浙公网安备 33010602011771号