深入解析:<基于改进深度学习的实时三维表面重建方法>-论文总结
<基于改进深度学习的实时三维表面重建方式>-论文总结
00摘要
三维(3D)表面轮廓测量在制造业质量控制中至关重要。与传统干涉仪不同,剪切干涉仪、Shack-Hartmann传感器和偏折测量法等3D表面测量技术行直接获取两个正交方向上的表面斜率信息,无需参考平面。然而,获取3D表面数据需要波前重建算法,这些算法通常分为模态法和区域法。模态法重建速度快,但难以处理复杂表面;而区域法能够重建更复杂的表面(如自由曲面),但速度较慢,尤其是在大范围测量时。本研究提出了Residual-UNet3+,一种基于UNet3+的增强型深度学习表面重建算法。Residual-UNet3+网络运用模拟和实验材料进行训 练, 并 与 D-UNet、 模 态 法 及 迭 代 Southwell 区 域 法 进 行 性 能 比 较。 改 进 后 的Residual-UNet3+相比D-UNet具有更高的重建精度,且重建速度相近。此外,结果表明,所提方法在精度上可与模态法和Southwell法相媲美,但重建速度显著更快,表明出其在实时3D 表面测量应用中的潜力。
01引言
**三维表面轮廓测量方法的核心在于获取被测表面沿x轴和y轴方向的正交斜率信息。随后采用各种波前重建算法将被测表面重建为三维形态。**然而,在处理具有急剧斜率变化或敏捷变形的表面时,尤其是自由曲面等复杂几何形状时,模态方法面临挑战。
最近的研究提出了一种基于UNet3+架构的深度学习表面重建算法D-UNet,用于偏折测量法[12, 13]。然而,与传统方法(如Southwell方法)相比,D-UNet 在处理更多样化和复杂表面时性能不足。通常需要增加数据量以提升深度学习模型的性能。但由于图形处理器(GPU)内存的限制,持续扩展训练数据集具有挑战性。针对这一挑战,本研究提出了一种新型人工神经网络架构Residual-UNet3+。该架构旨在提升表面重建性能,在应用相同训练数据量的情况下优于D-UNet。
02方法
结合残差学习和UNet3+架构的优势,我们将残差块集成到UNet3+中,以提高表面重建性能。因此, 一 种 新 的 CNN 结 构 被 提 出, 命 名 为Residual-UNet3+。

2.2. 训练数据生成
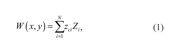
我们通过Zernike多项式模拟随机表面形状W(x, y)。模拟的表面形状W(x, y)由下式描述:
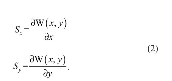
本研究中,Zernike多项式以笛卡尔坐标系表示,生成的表面被假定为代表表面轮廓测量系统的测量表面。随后,从随机生成的三维表面中提取两个正交方向(水平方向x轴和垂直方向y轴)的斜率信息,使用以下方程:

数据集:
由Z1到Z36(N = 36)的Zernike多项式组合而成,表面和斜率信息以128×128像素的分辨率和7.81 µm的像素间距生成
超参数:
有卷积层均采用7×7的卷积核大小
初始学习率设为1×10−5。
采用了自适应矩估计(Adam)优化器,
L2 正 则 化 率 设 为1×10−6
采用了300个训练周期(epochs)
小批量大小始终固定为32。
03实验



04 结论
综上所述,所提出的Residual-UNet3+神经网络结构
在使用等量随机3D表面和正交方向斜率数据训练时,表现出优于D-UNet结构的表面重建性能。此外,在特 定 算 法 重 复 次 数 条 件 下, 将 所 提 出 的 基 于Residual-UNet3+深度学习的表面重建方式与迭代区域方法进行了比较。所提出的Residual-UNet3+网络表现出与Southwell表面重建方法相似的相对误差。然而值得注意的是,迭代区域方法的重建速度明显慢于所提出的Residual-UNet3+方法,且随着图像尺寸增大,重建时间迅速增加。相比之下,所提出的Residual-UNet3+方法无论图像尺寸如何,均能持续实现快速表面重建。尽管区域方法通过增加算法迭代次数可提升重建性能,但由于导致更长的表面重建时间,它们不适用于制造过程等实时应用。模式重建方式 以 其 高 重 建 速 度 著 称。 然 而, 我 们 所 提 出 的Residual-UNet3+神经网络结构在要求更低重建时间的同时,也表现出更高的重建精度,特殊是对于大数据量,其重建时间优于模式方法。因此,Residual-UNet3+深度学习方法被建议作为一种有前景的下一代表面重建算法,可有效应用于制造过程中的实时3D表面轮廓测量系统。为了在实际应用中实现最佳性能,确保实际测量的表面数据与训练所用数据之间具有较低的异质性至关重要。这种一致性是启用所提出的基于深度学习的重建方法实现精确表面重建的必要条件。
参考文献:Improved Deep Learning-based Method for Real-time Three-dimensional Surface Reconstruction
声明:作者水平有限,如有错误,务必留言指正,共同学习进步!(如有帮助,不妨点赞评论)。

浙公网安备 33010602011771号