遗留物检测算法及实现
算法一:
《An abandoned object detection system based on dual backgroundsegmentation》 IEEE 2009
搞了两个背景缓冲区:
Current_background:初始为第一帧,其后对每个像素,若下一帧像素大于该背景像素,则该出背景像素加1,否则该处背景像素减1。【挺神奇的,好处是This way, even if the foreground ischanging at a fast pace, it will not affect the background but if theforeground is stationary, it gradually merges into the background.但是效果还是不及混合高斯,因为适应期太长太频繁了】
Buffer_background:论文上说每隔20秒更新一次,直接拷贝Current_background,遗留物检测直接通过Current_background和Buffer_background相减即可。【他这边认为一个遗留物丢弃满20秒,如果还在,则认为该遗留物为背景了】。随后,搞了一堆跟踪该区域的东西,我不太感兴趣。
本文对上述的改进的目标是物体如果被遗弃了,那么它就应该一直被检测到。我额外搞了一个遗弃背景模版abandon_background,用于记录遗弃物之前的背景图像。
A.若物体离开,则abandon相应区域恢复到当前current的值,buffer更新为当前整个current。B.若物体未离开,则用abandon对buffer局部更新
整体算法:
1. 第一帧,用来初始化Current_background和Buffer_background
2. 通过两个背景区域计算遗留物
3. 每一帧更新Current_background
4. 若时间间隔满足,更新Buffer_background和遗弃物背景abandon_background,更新计数器
a. 若遗弃物背景首次更新,根据current和buffer之差,在相应的地方赋current的值,其余为0
b. 进行物体离开判断,即:若abandon与current对应区域背景像素不同,则物体还未离开,否则离开
c. 若物体离开,将current更新abandon的相应区域,buffer复制完整的current
d. 若物体未离开,将abandon更新buffer的相应区域,abandon保持不变。
5. 读取下一帧,返回2
代码:
调用的函数:
- #include "Model.h"
- #define Th 50
- #define Ta 90
- int first_update = 0;//首次更新标志
- void calc_fore(IplImage *current,IplImage *back,IplImage *fore)
- {
- int i,j;
- for (i=0;i<current->height;i++)
- {
- for (j=0;j<current->width;j++)
- {
- if (abs((u_char)current->imageData[i*current->widthStep+j] - (u_char)back->imageData[i*current->widthStep+j]) <=Ta )
- {
- fore->imageData[i*current->widthStep+j] = 0;//background
- }else
- {
- fore->imageData[i*current->widthStep+j] = 255;//foreground
- }
- }
- }
- }
- void update_currentback(IplImage *current,IplImage *curr_back)
- {
- int i,j;
- int p,q;
- for (i=0;i<current->height;i++)
- {
- for (j=0;j<current->width;j++)
- {
- p = (u_char)current->imageData[i * current->widthStep + j];
- q = (u_char)curr_back->imageData[i * current->widthStep + j];
- //printf("%d,%d\n",p,q);
- if (p >= q)
- {
- if (q == 255)
- {
- q = 254;
- }
- curr_back->imageData[i * current->widthStep + j] = q + 1;
- }else
- {
- if (q == 0)
- {
- q = 1;
- }
- curr_back->imageData[i * current->widthStep + j] = q - 1;
- }
- }
- }
- }
- void update_bufferedback(IplImage *curr_back,IplImage *buf_back,IplImage *abandon)
- {
- int i,j,height,width;
- int leave_flag = 0;
- height = curr_back->height;
- width = curr_back->widthStep;
- if (first_update == 0)
- {
- for ( i = 0;i < height; i++)
- {
- for (j = 0;j < width; j++)
- {
- if (abs((u_char)curr_back->imageData[i*width+j] - (u_char)buf_back->imageData[i*width+j]) <=Th )
- {
- abandon->imageData[i*width+j] = 0;//background
- }else
- {
- abandon->imageData[i*width+j] = curr_back->imageData[i*width+j];//foreground
- first_update = 1;
- }
- }
- }
- return;
- }
- //物体离开判断
- for ( i = 0;i < height; i++)
- {
- for (j = 0;j < width; j++)
- {
- if (abandon->imageData[i*width+j] != 0)
- {
- if (abandon->imageData[i*width+j] != curr_back->imageData[i*width+j])
- {
- leave_flag = 1; //物体掩膜处之前背景与当前的不一致,1:物体未离开,0:物体离开
- }
- }
- }
- }
- if(leave_flag == 0) //物体离开
- {
- cvCopy(curr_back,buf_back);
- for ( i = 0;i < height; i++)
- {
- for (j = 0;j < width; j++)
- {
- if (abandon->imageData[i*width+j] != 0)
- {
- abandon->imageData[i*width+j] = curr_back->imageData[i*width+j];
- }
- }
- }
- }else
- {
- for ( i = 0;i < height; i++)
- {
- for (j = 0;j < width; j++)
- {
- if (abandon->imageData[i*width+j] != 0)
- {
- buf_back->imageData[i*width+j] = abandon->imageData[i*width+j];
- }
- }
- }
- }
- }
主函数:
- // abandon_left.cpp : 定义控制台应用程序的入口点。
- //
- #include "stdafx.h"
- #include "Model.h"
- int _tmain(int argc, _TCHAR* argv[])
- {
- CvCapture *capture=cvCreateFileCapture("test.avi");
- IplImage *current_back,*buff_back,*abandon,*frame,*current_img,*fore;
- int count,intern;
- frame = cvQueryFrame(capture);
- fore = cvCreateImage(cvSize(frame->width,frame->height),IPL_DEPTH_8U,1);
- current_back = cvCreateImage(cvSize(frame->width,frame->height),IPL_DEPTH_8U,1);
- current_img = cvCreateImage(cvSize(frame->width,frame->height),IPL_DEPTH_8U,1);
- buff_back = cvCreateImage(cvSize(frame->width,frame->height),IPL_DEPTH_8U,1);
- abandon = cvCreateImage(cvSize(frame->width,frame->height),IPL_DEPTH_8U,1);
- count=0;
- intern = count + 20;
- while (1)
- {
- cvCvtColor(frame,current_img,CV_RGB2GRAY);
- if (count == 0)
- {
- //初始化背景模版
- cvCopy(current_img,current_back);
- cvCopy(current_img,buff_back);
- }
- if (count > 0)
- {
- //计算前景掩膜
- calc_fore(current_back,buff_back,fore);
- //更新跟踪背景
- update_currentback(current_img,current_back);
- if (count == intern)
- {
- update_bufferedback(current_back,buff_back,abandon);
- intern = count + 20;
- }
- cvShowImage("current",current_img);
- cvShowImage("current_back",current_back);
- cvShowImage("buff_back",buff_back);
- cvShowImage("abandon detection",fore);
- }
- count++;
- frame =cvQueryFrame(capture);
- if (cvWaitKey(23)>=0)
- {
- break;
- }
- }
- cvNamedWindow("current",0);
- cvNamedWindow("buff_back",0);
- cvNamedWindow("current_back",0);
- cvNamedWindow("abandon detection",0);
- cvReleaseCapture(&capture);
- return 0;
- }
效果图:
说明:左下角有个女的运动规律也符合静止目标检测规律,所以也被检测出来了。后期可以通过外接矩形长宽比等其他手段过滤掉。
视频+代码工程的下载连接:http://download.csdn.net/detail/jinshengtao/7157943
算法二:
《一种基于双背景模型的遗留物检测方法》
搞了个脏背景和纯背景,定义:
当视频场景中不出现运动目标,或者背景不受场景中所出现的运动目标影响时,这样的背景称为纯背景。否则,称为脏背景
它们的更新规则:
一般背景的更新按照帧间差分法:
脏背景使用全局更新,直接赋值一般背景:
纯背景根据前景掩膜,进行局部更新,即若前景掩膜被标记为运动的部分,则相应的纯背景区域用上一帧的纯背景更新;若前景掩膜被标记为非运动的部分,则相应的纯背景区域用当前帧的一般背景更新。
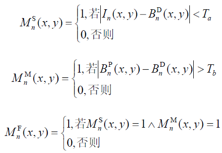
静止目标前景检测算法可以通过以下公式看明白:
具体算法流程不给咯,论文没提,自己摸索的,反正试验效果失败了。
代码:
- // left_bag.cpp : 定义控制台应用程序的入口点。
- //
- #include "stdafx.h"
- #include "cv.h"
- #include "highgui.h"
- #define u_char unsigned char
- #define alfa 0.03
- #define Th 60
- #define Ta 60
- #define Tb 40
- void calc_fore(IplImage *current,IplImage *back,IplImage *fore)
- {
- int i,j;
- for (i=0;i<current->height;i++)
- {
- for (j=0;j<current->width;j++)
- {
- if (abs((u_char)current->imageData[i*current->widthStep+j] - (u_char)back->imageData[i*current->widthStep+j]) <=Th )
- {
- fore->imageData[i*current->widthStep+j] = 0;//background
- }else
- {
- fore->imageData[i*current->widthStep+j] = 255;//foreground
- }
- }
- }
- }
- void update_back(IplImage *current,IplImage *back,IplImage *B_p,IplImage *B_d,IplImage *fore,IplImage *B_p_pre)
- {
- int i,j;
- //更新B_n
- for (i=0;i<current->height;i++)
- {
- for (j=0;j<current->width;j++)
- {
- back->imageData[i*current->widthStep+j] = (1-alfa)*current->imageData[i*current->widthStep+j] + alfa * back->imageData[i*current->widthStep+j];
- }
- }
- //更新B_d
- cvCopy(back,B_d);
- //更新B_p
- for (i = 0;i < fore->height;i++)
- {
- for (j = 0;j < fore->width;j++)
- {
- if ((unsigned char)fore->imageData[i*fore->widthStep + j ] == 255)
- {
- B_p->imageData[i*fore->widthStep + j] = B_p_pre->imageData[i*fore->widthStep + j];
- }else
- {
- B_p->imageData[i*fore->widthStep + j] = back->imageData[i*fore->widthStep + j];
- }
- }
- }
- }
- void calc_StaticTarget(IplImage *current,IplImage *B_d,IplImage *B_p,IplImage *M_s,IplImage *M_m,IplImage *M_f)
- {
- int i,j;
- for (i = 0;i < current->height;i++)
- {
- for (j = 0;j < current->width;j++)
- {
- if (abs((u_char)current->imageData[i*current->widthStep+j] - (u_char)B_d->imageData[i*current->widthStep+j]) <= Th )
- {
- M_s->imageData[i*current->widthStep+j] = 255;
- }else
- {
- M_s->imageData[i*current->widthStep+j] = 0;
- }
- if (abs((u_char)B_p->imageData[i*current->widthStep+j] - (u_char)B_d->imageData[i*current->widthStep+j]) > Tb)
- {
- M_m->imageData[i*current->widthStep+j] = 255;
- }else
- {
- M_m->imageData[i*current->widthStep+j] = 0;
- }
- if (((unsigned char)M_m->imageData[i*current->widthStep+j] == 255) &&((unsigned char)M_s->imageData[i*current->widthStep+j] == 255))
- {
- M_f->imageData[i*current->widthStep+j] = 255;
- }else
- {
- M_f->imageData[i*current->widthStep+j] = 0;
- }
- }
- }
- }
- int _tmain(int argc, _TCHAR* argv[])
- {
- CvCapture *capture=cvCreateFileCapture("test.avi");
- IplImage *frame,*current_img,*B_n,*B_p,*B_d,*B_p_pre;
- IplImage *M,*M1,*M_s,*M_m,*M_f;
- int count,i,j;
- frame = cvQueryFrame(capture);
- current_img = cvCreateImage(cvSize(frame->width,frame->height),IPL_DEPTH_8U,1);
- B_n = cvCreateImage(cvSize(frame->width,frame->height),IPL_DEPTH_8U,1);
- B_p = cvCreateImage(cvSize(frame->width,frame->height),IPL_DEPTH_8U,1);
- B_d = cvCreateImage(cvSize(frame->width,frame->height),IPL_DEPTH_8U,1);
- B_p_pre = cvCreateImage(cvSize(frame->width,frame->height),IPL_DEPTH_8U,1);
- M = cvCreateImage(cvSize(frame->width,frame->height),IPL_DEPTH_8U,1);
- M1 = cvCreateImage(cvSize(frame->width,frame->height),IPL_DEPTH_8U,1);
- M_s = cvCreateImage(cvSize(frame->width,frame->height),IPL_DEPTH_8U,1);
- M_m = cvCreateImage(cvSize(frame->width,frame->height),IPL_DEPTH_8U,1);
- M_f = cvCreateImage(cvSize(frame->width,frame->height),IPL_DEPTH_8U,1);
- count=0;
- while (1)
- {
- cvCvtColor(frame,current_img,CV_RGB2GRAY);
- if (count == 0)
- {
- //初始化各种背景模版
- cvCopy(current_img,B_n);
- cvCopy(current_img,B_p);
- cvCopy(current_img,B_d);
- cvCopy(current_img,B_p_pre);
- }
- if (count > 1)
- {
- //计算前景掩膜
- calc_fore(current_img,B_n,M1);
- //膨胀腐蚀操作
- cvDilate(M1, M, 0, 1);
- cvErode(M, M1, 0, 2);
- cvDilate(M1, M, 0,1);
- //静止目标检测
- calc_StaticTarget(current_img,B_d,B_p,M_s,M_m,M_f);
- //更新跟踪背景
- update_back(current_img,B_n,B_p,B_d,M,B_p_pre);
- cvShowImage("pure ground",B_p);
- cvShowImage("dirty ground",B_d);
- cvShowImage("static target",M_f);
- cvShowImage("fore ground",M);
- cvCopy(B_p,B_p_pre);
- }
- count++;
- frame =cvQueryFrame(capture);
- if (cvWaitKey(23)>=0)
- {
- break;
- }
- }
- cvNamedWindow("pure ground",0);
- cvNamedWindow("dirty ground",0);
- cvNamedWindow("static target",0);
- cvNamedWindow("fore ground",0);
- cvReleaseCapture(&capture);
- return 0;
- }
算法三【MATLAB toolbox中的一个demo】
理论部分没看,在控制台直接输入:edit videoabandonedobj 会有相应的代码跳出来。
在help中搜索Abandoned Object Detection,会有理论部分介绍
视频素材下载地址:http://www.mathworks.cn/products/viprocessing/vipdemos.html
代码:【2010b 版本可跑】
- clc;
- clear;
- status = videogetdemodata('viptrain.avi');
- if ~status
- displayEndOfDemoMessage(mfilename);
- return;
- end
- roi = [80 100 240 360];
- % Maximum number of objects to track
- maxNumObj = 200;
- % Number of frames that an object must remain stationary before an alarm is
- % raised
- alarmCount = 45;
- % Maximum number of frames that an abandoned object can be hidden before it
- % is no longer tracked
- maxConsecutiveMiss = 4;
- % Maximum allowable change in object area in percent
- areaChangeFraction = 15;
- % Maximum allowable change in object centroid in percent
- centroidChangeFraction = 20;
- % Minimum ratio between the number of frames in which an object is detected
- % and the total number of frames, for that object to be tracked.
- minPersistenceRatio = 0.7;
- % Offsets for drawing bounding boxes in original input video
- PtsOffset = int32(repmat([roi(1); roi(2); 0 ; 0],[1 maxNumObj]));
- hVideoSrc = video.MultimediaFileReader;
- hVideoSrc.Filename = 'viptrain.avi';
- hVideoSrc.VideoOutputDataType = 'single';
- hColorConv = video.ColorSpaceConverter;
- hColorConv.Conversion = 'RGB to YCbCr';
- hAutothreshold = video.Autothresholder;
- hAutothreshold.ThresholdScaleFactor = 1.3;
- hClosing = video.MorphologicalClose;
- hClosing.Neighborhood = strel('square',5);
- hBlob = video.BlobAnalysis;
- hBlob.MaximumCount = maxNumObj;
- hBlob.NumBlobsOutputPort = true;
- hBlob.MinimumBlobAreaSource = 'Property';
- hBlob.MinimumBlobArea = 100;
- hBlob.MaximumBlobAreaSource = 'Property';
- hBlob.MaximumBlobArea = 2500;
- hBlob.ExcludeBorderBlobs = true;
- hDrawRectangles1 = video.ShapeInserter;
- hDrawRectangles1.Fill = true;
- hDrawRectangles1.FillColor = 'Custom';
- hDrawRectangles1.CustomFillColor = [1 0 0];
- hDrawRectangles1.Opacity = 0.5;
- hDisplayCount = video.TextInserter;
- hDisplayCount.Text = '%4d';
- hDisplayCount.Color = [1 1 1];
- hAbandonedObjects = video.VideoPlayer;
- hAbandonedObjects.Name = 'Abandoned Objects';
- hAbandonedObjects.Position = [10 300 roi(4)+25 roi(3)+25];
- hDrawRectangles2 = video.ShapeInserter;
- hDrawRectangles2.BorderColor = 'Custom';
- hDrawRectangles2.CustomBorderColor = [0 1 0];
- hDrawBBox = video.ShapeInserter;
- hDrawBBox.BorderColor = 'Custom';
- hDrawBBox.CustomBorderColor = [1 1 0];
- hAllObjects = video.VideoPlayer;
- hAllObjects.Position = [45+roi(4) 300 roi(4)+25 roi(3)+25];
- hAllObjects.Name = 'All Objects';
- hDrawRectangles3 = video.ShapeInserter;
- hDrawRectangles3.BorderColor = 'Custom';
- hDrawRectangles3.CustomBorderColor = [0 1 0];
- hThresholdDisplay = video.VideoPlayer;
- hThresholdDisplay.Position = ...
- [80+2*roi(4) 300 roi(4)-roi(2)+25 roi(3)-roi(1)+25];
- hThresholdDisplay.Name = 'Threshold';
- firsttime = true;
- while ~isDone(hVideoSrc)
- Im = step(hVideoSrc);
- % Select the region of interest from the original video
- OutIm = Im(roi(1):end, roi(2):end, :);
- YCbCr = step(hColorConv, OutIm);
- CbCr = complex(YCbCr(:,:,2), YCbCr(:,:,3));
- % Store the first video frame as the background
- if firsttime
- firsttime = false;
- BkgY = YCbCr(:,:,1);
- BkgCbCr = CbCr;
- end
- SegY = step(hAutothreshold, abs(YCbCr(:,:,1)-BkgY));
- SegCbCr = abs(CbCr-BkgCbCr) > 0.05;
- % Fill in small gaps in the detected objects
- Segmented = step(hClosing, SegY | SegCbCr);
- % Perform blob analysis
- [Area, Centroid, BBox, Count] = step(hBlob, Segmented);
- % Call the helper function that tracks the identified objects and
- % returns the bounding boxes and the number of the abandoned objects.
- [OutCount, OutBBox] = videoobjtracker(Area, Centroid, BBox, Count,...
- areaChangeFraction, centroidChangeFraction, maxConsecutiveMiss, ...
- minPersistenceRatio, alarmCount);
- % Display the abandoned object detection results
- Imr = step(hDrawRectangles1, Im, OutBBox+PtsOffset);
- Imr(1:15,1:30,:) = 0;
- Imr = step(hDisplayCount, Imr, OutCount);
- step(hAbandonedObjects, Imr);
- % Display all the detected objects
- Imr = step(hDrawRectangles2, Im, BBox+PtsOffset);
- Imr(1:15,1:30,:) = 0;
- Imr = step(hDisplayCount, Imr, OutCount);
- Imr = step(hDrawBBox, Imr, roi);
- step(hAllObjects, Imr);
- % Display the segmented video
- SegIm = step(hDrawRectangles3, repmat(Segmented,[1 1 3]), BBox);
- step(hThresholdDisplay, SegIm);
- end
- release(hVideoSrc);

浙公网安备 33010602011771号