动手学深度学习v2-08-1 线性回归+基础优化算法
一、线性回归
1 线性模型

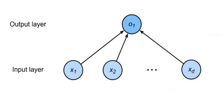
2 线性模型可以看成单层神经网络

3 神经网络源于神经科学

4 衡量预测质量
- 平方损失
  
5 案例-房价预测
(1) 简化模型

(2) 训练数据

(3) 参数学习

(4) 显示解

6 总结

二、基础优化方法
1 梯度下降
(1) 基本步骤

(2) 选择学习率

2 小批量随机梯度下降
(1) 基本步骤

(2) 选择批量大小

3 总结





(1) 简化模型

(2) 训练数据

(3) 参数学习

(4) 显示解


(1) 基本步骤

(2) 选择学习率

(1) 基本步骤

(2) 选择批量大小


