动手学深度学习v2-07-1自动求导
自动求导
- 深度学习框架通过自动计算导数,即自动求导(automatic differentiation),来加快这项工作。
- 根据我们设计的模型,系统会构建一个计算图,来跟踪计算是哪些数据通过哪些操作组合起来产生输出。
- 自动求导使系统能够随后反向传播梯度
- 反向传播只是意味着跟踪整个计算图,填充关于每个参数的偏导数。
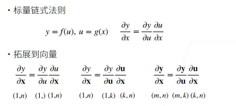
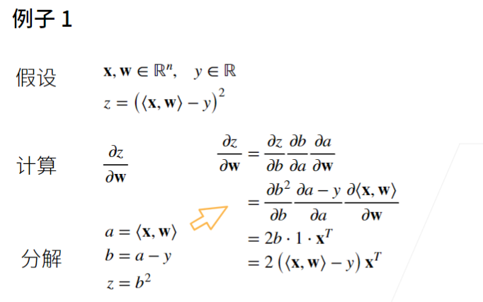
1 向量链式法则



2 自动求导



2.1 自动求导的两种模式







2.2 例子

- 创建变量x并为其分配一个初始值
import torch
x = torch.arange(4.0)
x

- x.grad来存储梯度
标量函数关于向量 x 的梯度是向量,并且与 x 具有相同的形状。
x.requires_grad_(True) # 等价于 `x = torch.arange(4.0, requires_grad=True)`
x.grad # 默认值是None
- 计算Y值
y = 2 * torch.dot(x, x)
y

- 调用反向传播函数来自动计算y关于x每个分量的梯度,并打印这些梯度。
x是一个长度为4的向量
y.backward()
x.grad

- 我们知道关于x的梯度为4x,我们想要验证梯度是否正确。
x.grad == 4 * x

2.3 非标量变量的反向传播
- 计算批量中每个样本单独计算的偏导数之和
# 对非标量调用`backward`需要传入一个`gradient`参数,该参数指定微分函数关于`self`的梯度。在我们的例子中,我们只想求偏导数的和,所以传递一个1的梯度是合适的
x.grad.zero_()
y = x * x
# 等价于y.backward(torch.ones(len(x)))
y.sum().backward()
x.grad

2.4 分离计算
- 我们可以分离y来返回一个新变量u,该变量与y具有相同的值,但丢弃计算图中如何计算y的任何信息。
下面的反向传播函数计算z=u*x关于x的偏导数,同时将u作为常数处理,而不是z=x * x * x关于x的偏导数。
x.grad.zero_()
y = x * x
u = y.detach()
z = u * x
z.sum().backward()
x.grad == u

2.5 Python控制流的梯度计算
使用自动求导的一个好处是,即使构建函数的计算图需要通过Python控制流(例如,条件、循环或任意函数调用),我们仍然可以计算得到的变量的梯度。
下面的代码中,while循环的迭代次数和if语句的结果都取决于输入a的值
def f(a):
b = a * 2
while b.norm() < 1000:
b = b * 2
if b.sum() > 0:
c = b
else:
c = 100 * b
return c
- 计算梯度
a = torch.randn(size=(), requires_grad=True)
d = f(a)
d.backward()
- 验证梯度是否正确
a.grad == d / a

3 小结
我们首先将梯度附加到想要对其计算偏导数的变量上。然后我们记录目标值的计算,执行它的反向传播函数,并访问得到的梯度。

浙公网安备 33010602011771号