会员
众包
新闻
博问
闪存
赞助商
HarmonyOS
Chat2DB
所有博客
当前博客
我的博客
我的园子
账号设置
会员中心
简洁模式
...
退出登录
注册
登录
Trouvaille
持续学习...
博客园
首页
新随笔
联系
订阅
管理
线性回归8-正则化线性模型
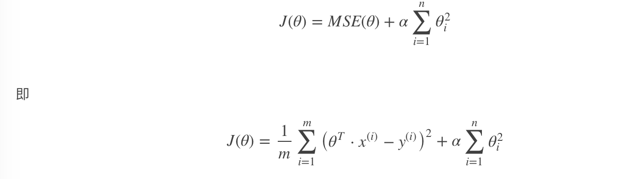
1 Ridge Regression 岭回归
就是把系数添加平方项
然后限制系数值的大小
α值越小,系数值越大,α越大,系数值越小
岭回归代价函数:
2 Lasso 回归
对系数值进行绝对值处理
由于绝对值在顶点处不可导,所以进行计算的过程中产生很多0,最后得到结果为:稀疏矩阵
3 Elastic Net 弹性网络
是前两个内容的综合
设置了一个r,如果r=0--岭回归;r=1--Lasso回归
4 Early stopping
通过限制错误率的阈值,进行停止
posted @
2021-09-16 16:44
Trouvaille_fighting
阅读(
94
) 评论(
0
)
收藏
举报
刷新页面
返回顶部
公告