线性回归4-梯度下降法介绍
1 全梯度下降算法(FG)
- 计算训练集所有样本误差,对其求和再取平均值作为目标函数。
- 在执行每次更新时,我们需要在整个数据集上计算所有的梯度,所以批梯度下降法的速度会很慢,同时,批梯度下降法无法处理超出内存容量限制的数据集。
- 批梯度下降法同样也不能在线更新模型,即在运行的过程中,不能增加新的样本。
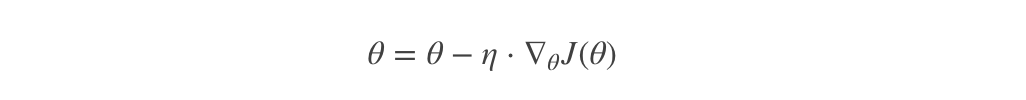
- 其是在整个训练数据集上计算损失函数关于参数θ的梯度:

2 随机梯度下降算法(SG)
- 每次只代入计算一个样本目标函数的梯度来更新权重,再取下一个样本重复此过程,直到损失函数值停止下降或损失函数值小于某个可以容忍的阈值。
- 此过程简单,高效,通常可以较好地避免更新迭代收敛到局部最优解。其迭代形式为

- 注:SG每次只使用一个样本迭代,若遇上噪声则容易陷入局部最优解。
3 小批量梯度下降算法(Mini-batch)
- 每次从训练样本集上随机抽取一个小样本集,在抽出来的小样本集上采用FG迭代更新权重。
- 小批量梯度下降算法是FG和SG的折中方案,在一定程度上兼顾了以上两种方法的优点。
- 被抽出的小样本集所含样本点的个数称为batch_size,通常设置为2的幂次方,更有利于GPU加速处理。
- 特别的,若batch_size=1,则变成了SG;若batch_size=n,则变成了FG.其迭代形式为

4 随机平均梯度下降算法(SAG)
- 在SG方法中,虽然避开了运算成本大的问题,但对于大数据训练而言,SG效果常不尽如人意,因为每一轮梯度更新都完全与上一轮的数据和梯度无关。
- 随机平均梯度算法克服了这个问题,在内存中为每一个样本都维护一个旧的梯度,随机选择第i个样本来更新此样本的梯度,其他样本的梯度保持不变,然后求得所有梯度的平均值,后期计算的时候,参考这个平均值,进而更新参数。
- 每一轮更新仅需计算一个样本的梯度,计算成本等同于SG,但收敛速度快得多。


浙公网安备 33010602011771号