线性回归3-线性回归的损失和优化
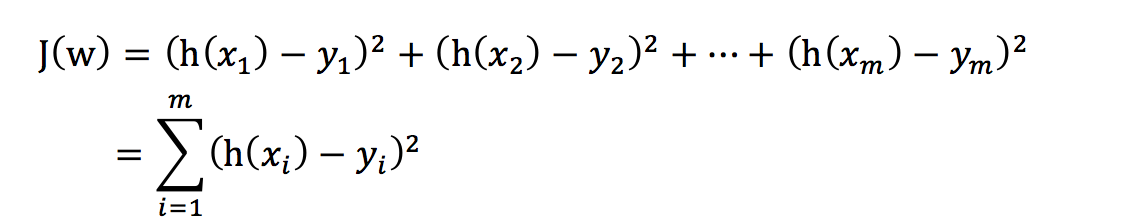
1 损失函数
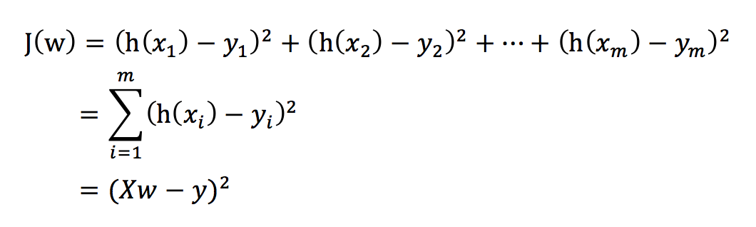
总损失定义为:

- yi为第i个训练样本的真实值
- h(xi)为第i个训练样本特征值组合预测函数
- 又称最小二乘法
我们想使得损失函数的值最小,就要通过一些优化方法去优化(即为数学当中的求导功能)回归的总损失。
2 优化算法
- 求模型当中的W,使得损失最小(找到最小损失对应的W值)
- 线性回归经常使用的两种优化算法
- 正规方程
- 梯度下降法
2.1 正规方程
2.1.1 什么是正规方程

理解:X为特征值矩阵,y为目标值矩阵。直接求到最好的结果
缺点:当特征过多过复杂时,求解速度太慢并且得不到结果

2.1.2 正规方程求解举例

转化后的结果为:

运用正规方程方法求解参数:

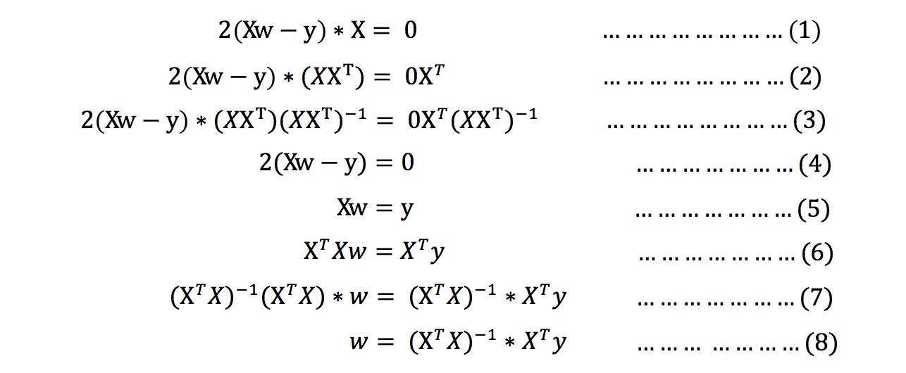
2.1.3 正规方程的推导
- 推导方式:
把该损失函数转换成矩阵写法:

其中y是真实值矩阵,X是特征值矩阵,w是权重矩阵
- 求解思路:对其求解关于w的最小值,起止y,X 均已知二次函数直接求导,导数为零的位置,即为最小值。

式(1)到式(2)推导过程中, X是一个m行n列的矩阵,并不能保证其有逆矩阵,但是右乘XT把其变成一个方阵,保证其有逆矩阵。式(5)到式(6)推导过程中,和上类似。
2.2 梯度下降(Gradient Descent)
2.2.1 什么是梯度下降

梯度下降的基本过程就和下山的场景很类似。
- 首先,我们有一个可微分的函数。这个函数就代表着一座山。
- 其次,我们的目标就是找到这个函数的最小值,也就是山底。
根据之前的场景假设,最快的下山的方式就是找到当前位置最陡峭的方向,然后沿着此方向向下走,对应到函数中,就是找到给定点的梯度 ,然后朝着梯度相反的方向,就能让函数值下降的最快!因为梯度的方向就是函数值变化最快的方向。 所以,我们重复利用这个方法,反复求取梯度,最后就能到达局部的最小值,这就类似于我们下山的过程。而求取梯度就确定了最陡峭的方向,也就是场景中测量方向的手段。
2.2.2 梯度的概念
在单变量的函数中,梯度其实就是函数的微分,代表着函数在某个给定点的切线的斜率;
在多变量函数中,梯度是一个向量,向量有方向,梯度的方向就指出了函数在给定点的上升最快的方向;
我们需要到达山底,就需要在每一步观测到此时最陡峭的地方,梯度就恰巧告诉了我们这个方向。梯度的方向是函数在给定点上升最快的方向,那么梯度的反方向就是函数在给定点下降最快的方向,这正是我们所需要的。所以我们只要沿着梯度的反方向一直走,就能走到局部的最低点!
2.2.3 梯度下降举例
- 1. 单变量函数的梯度下降

如图,经过四次的运算,也就是走了四步,基本就抵达了函数的最低点,也就是山底。
- 2.多变量函数的梯度下降


我们发现,已经基本靠近函数的最小值点

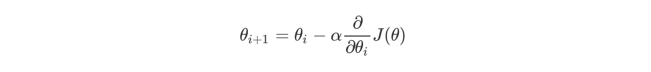
2.2.4 梯度下降(Gradient Descent)公式

- α是什么含义?
α在梯度下降算法中被称作为学习率或者步长,意味着我们可以通过α来控制每一步走的距离,α不能太大也不能太小,太小的话,可能导致迟迟走不到最低点,太大的话,会导致错过最低点!

- 为什么梯度要乘以一个负号?
梯度的方向实际就是函数在此点上升最快的方向!而我们需要朝着下降最快的方向走,自然就是负的梯度的方向,所以此处需要加上负号,通过两个图更好理解梯度下降的过程


有了梯度下降这样一个优化算法,回归就有了"自动学习"的能力 - 优化动态图演示

3 梯度下降和正规方程的对比
| 梯度下降 | 正规方程 |
|---|---|
| 需要选择学习率 | 不需要 |
| 需要迭代求解 | 一次运算得出 |
| 特征数量较大可以使用 | 需要计算方程,时间复杂度高O(n3) |
3.1 算法选择依据:
- 小规模数据:
- 正规方程:LinearRegression(不能解决拟合问题)
- 岭回归
- 大规模数据:
- 梯度下降法:SGDRegressor

浙公网安备 33010602011771号