归并排序
一、原理
☆思想:归并排序(Merge sort)是建立在归并操作上的一种有效的排序算法,类似二叉树两个子节点中的序列有序,合并到父节点,仍然有序;该算法是采用分治法(Divide and Conquer)的一个非常典型的应用,作为一种典型的分而治之思想的算法应用,归并排序的实现有两种方法:
- 自上而下的递归
- 自下而上的迭代
☆过程:以递增为例,用数组表示,长度为n,分别用递归和迭代实现,这两部分都用到了归并过程,输入两个有序序列,同时遍历,比较,小的先归入,如果有一个序列已全部归入,另一个序列其余元素顺序归入;
- 找到数组中间位置,拆分为左右两部分,这两部分如果长度大于1,递归拆分,返回归并结果;
- 定义初始间隔为1,即每两个相邻元素归并,如果输入序列为偶数个,则刚好两两合并,如果为奇数个,最后一个元素不处理;间隔加倍,即刚归并的两个相邻元素与紧接着的两个相邻元素归并,如果最后剩余三个元素,则把前两个和最后一个看成两部分合并;……不断加倍间隔,直到大于输入序列长度,此时输入序列有序;
二、实现代码
JavaScript 代码递归实现
function mergeSort(arr) { return split(arr, 0, arr.length - 1); } function split(arr, s, e) { var mid; var left = [], right = []; //将数组拆分为左右两个集合; mid = s + Math.floor((e - s) / 2); if (mid > s) { left = split(arr.slice(s, mid + 1), 0, mid - s); } else { left = arr.slice(s, mid + 1); } if (e - mid > 1) { right = split(arr.slice(mid + 1, e + 1), 0, e - mid - 1); } else { right = arr.slice(mid + 1, e + 1); } return gb(left, right); } function gb(arra, arrb) { var arr = []; var i = 0, j = 0, k = 0; //归并插入新数组 while (i < arra.length && j < arrb.length) { if (arra[i] <= arrb[j]) { arr[k++] = arra[i++]; } else { arr[k++] = arrb[j++]; } } //如一数组已全部插入新数组,把另一数组剩余元素插入新数组 while (i < arra.length) { arr[k++] = arra[i++]; } while (j < arrb.length) { arr[k++] = arrb[j++]; } return arr; }
JavaScript 代码迭代实现
function mergeSort(arr) { //中间数组 var brr = []; //相邻待合并元素间隔 var n = 1; //合并间隔不能大于数组长度 while (n < arr.length) { for (var i = 0; i < arr.length; i = i + 2 * n) { //根据待合并元素个数判断处理 //可以分为两个完整分支 if (i + 2 * n - 1 < arr.length) { brr = gb(arr.slice(i, i + n), arr.slice(i + n, i + 2 * n)); } else if (i + n > arr.length - 1) { //只有一个分支,不处理 break; } else { //可以分为两个分支,但第二个分支长度不够 brr = gb(arr.slice(i, i + n), arr.slice(i + n, arr.length)); } //归并后数组复制到原数组 for (var j = i; j < i + 2 * n && j < arr.length; j++) { arr[j] = brr[j - i]; } } //每次间隔加倍 n = 2 * n; } } function gb(arra, arrb) { var arr = []; var i = 0, j = 0, k = 0; //归并插入新数组 while (i < arra.length && j < arrb.length) { if (arra[i] <= arrb[j]) { arr[k++] = arra[i++]; } else { arr[k++] = arrb[j++]; } } //如一数组已全部插入新数组,把另一数组剩余元素插入新数组 while (i < arra.length) { arr[k++] = arra[i++]; } while (j < arrb.length) { arr[k++] = arrb[j++]; } return arr; }
三、优化
无;
四、复杂度
| 名称 | 时间复杂度 | 空间复杂度 | 稳定性 | ||
| 平均 | 最坏 | 最优 | |||
| 归并排序 | O(nlogn) | O(nlogn) | O(nlogn) | O(n) | √ |
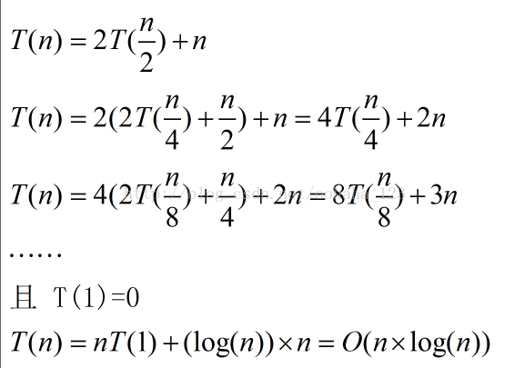
递归算法的时间复杂度公式:T[n] = aT[n/b] + f(n) ;

无论原始数组是否是有序的,都要递归分隔并向上归并排序,所以时间复杂度始终是O(nlog2n);
迭代归并排序的形式就是一棵二叉树,它需要遍历的次数就是二叉树的深度,而根据完全二叉树的可以得出它的时间复杂度是O(n*log2n)。
每次两个数组进行归并排序的时候,都会利用一个长度为n的数组作为辅助数组用于保存合并序列,所以空间复杂度为O(n);
相同元素不会交换,本排序稳定。
参考资料:
- 菜鸟教程
- https://www.cnblogs.com/l199616j/p/10604351.html
- https://cuijiahua.com/blog/2018/01/algorithm_7.html
- 《大话数据结构》2011年清华大学出版社 作者程杰

浙公网安备 33010602011771号