leetcode 141 环形链表
给定一个链表,判断链表中是否有环。
如果链表中有某个节点,可以通过连续跟踪 next 指针再次到达,则链表中存在环。 为了表示给定链表中的环,我们使用整数 pos 来表示链表尾连接到链表中的位置(索引从 0 开始)。 如果 pos 是 -1,则在该链表中没有环。注意:pos 不作为参数进行传递,仅仅是为了标识链表的实际情况。
如果链表中存在环,则返回 true 。 否则,返回 false 。
进阶:
你能用 O(1)(即,常量)内存解决此问题吗?
示例 1:

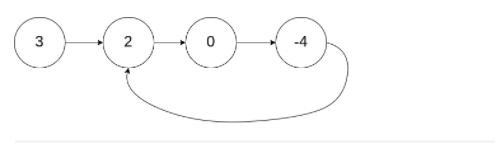
输入:head = [3,2,0,-4], pos = 1
输出:true
解释:链表中有一个环,其尾部连接到第二个节点。
来源:力扣(LeetCode)
链接:https://leetcode-cn.com/problems/linked-list-cycle
著作权归领扣网络所有。商业转载请联系官方授权,非商业转载请注明出处。
第一种方法是遍历链表,吧没出现过的节点放入哈希表,如果出现过就返回,时间复杂度和空间复杂度都是O(N)
第二种方法是Floyd判圈算法,即龟兔赛跑算法
public boolean hasCycle(ListNode head) {
if(head==null||head.next==null){
return false;
}
ListNode fast = head.next;
ListNode slow = head;
//快慢节点不相等就一直循环
while(fast!=slow){
//如果快节点到头了,说明没有环,返回false
if(fast==null||fast.next==null){
return false;
}
else{
//快节点一次走两步,慢节点一次走一步
fast=fast.next.next;
slow=slow.next;
}
}
return true;
}

浙公网安备 33010602011771号