【LeetCode】—— 排序链表
给你链表的头结点 head ,请将其按 升序 排列并返回 排序后的链表 。
进阶:
你可以在 O(n log n) 时间复杂度和常数级空间复杂度下,对链表进行排序吗?
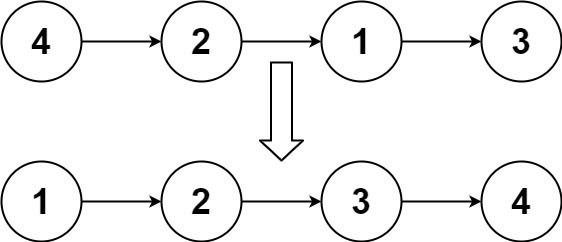
示例 1:

输入:head = [4,2,1,3]
输出:[1,2,3,4]
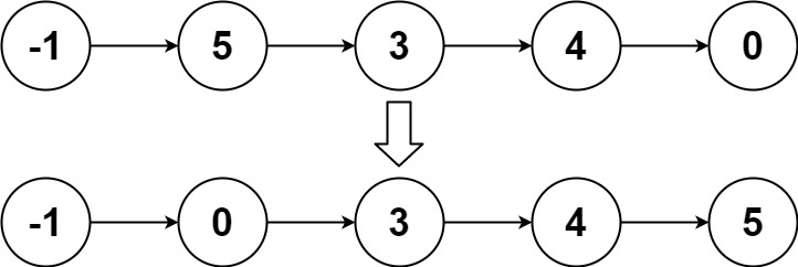
示例 2:

输入:head = [-1,5,3,4,0]
输出:[-1,0,3,4,5]
示例 3:
输入:head = []
输出:[]
1 /** 2 * Definition for singly-linked list. 3 * public class ListNode { 4 * int val; 5 * ListNode next; 6 * ListNode() {} 7 * ListNode(int val) { this.val = val; } 8 * ListNode(int val, ListNode next) { this.val = val; this.next = next; } 9 * } 10 */ 11 class Solution { 12 public ListNode sortList(ListNode head) { 13 // 自顶向下归并排序 14 return sortList(head,null); 15 } 16 // 对[head,tail)进行排序,注意,左闭右开 17 public ListNode sortList(ListNode head, ListNode tail){ 18 if (head == null){ 19 return head; 20 } 21 // 由于左闭右开,所以是单个节点 22 if(head.next == tail){ 23 head.next = null; 24 return head; 25 } 26 // 通过快慢指针,找到中间节点 27 ListNode slow = head; 28 ListNode fast = head; 29 while(fast != tail){ 30 slow = slow.next; 31 fast = fast.next; 32 if(fast!= tail){ 33 fast = fast.next; 34 } 35 } 36 ListNode mid = slow; 37 // 以mid分成两个部分进行排序 38 ListNode head1 = sortList(head,mid); 39 ListNode head2 = sortList(mid,tail); 40 return merge(head1,head2); 41 } 42 // 对两条有序链表进行合并 43 public ListNode merge(ListNode head1,ListNode head2){ 44 // 新建一个头节点 45 ListNode head = new ListNode(-1); 46 ListNode tmpHead1 = head1; 47 ListNode tmpHead2 = head2; 48 // 声明头节点,用来排序 49 ListNode tmp = head; 50 while (tmpHead1 != null && tmpHead2 != null){ 51 if (tmpHead1.val < tmpHead2.val){ 52 tmp.next = tmpHead1; 53 tmpHead1 = tmpHead1.next; 54 }else{ 55 tmp.next = tmpHead2; 56 tmpHead2 = tmpHead2.next; 57 } 58 tmp = tmp.next; 59 } 60 // 处理小尾巴 61 if (tmpHead1!= null){ 62 tmp.next = tmpHead1; 63 }else{ 64 tmp.next = tmpHead2; 65 } 66 return head.next; 67 } 68 }
解题关键:
自顶向下归并排序

浙公网安备 33010602011771号