【LeetCode】—— 二叉树展开为链表
给你二叉树的根结点 root ,请你将它展开为一个单链表:
展开后的单链表应该同样使用 TreeNode ,其中 right 子指针指向链表中下一个结点,而左子指针始终为 null 。
展开后的单链表应该与二叉树 先序遍历 顺序相同。
示例 1:

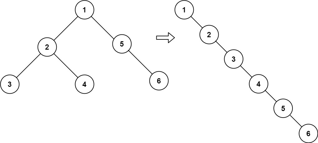
输入:root = [1,2,5,3,4,null,6]
输出:[1,null,2,null,3,null,4,null,5,null,6]
示例 2:
输入:root = []
输出:[]
示例 3:
输入:root = [0]
输出:[0]
1 class Solution { 2 public void flatten(TreeNode root) { 3 // 先前序遍历(栈,递归),再构成链表 4 List<TreeNode> list = new ArrayList<>(); 5 preOrder(root,list); 6 // 将list转成链表 7 for(int i=1;i<list.size();i++){ 8 TreeNode prev = list.get(i-1); 9 TreeNode cur =list.get(i); 10 prev.left = null; 11 prev.right = cur; 12 } 13 } 14 public void preOrder(TreeNode node, List<TreeNode> list){ 15 if(node != null){ 16 list.add(node); 17 preOrder(node.left,list); 18 preOrder(node.right,list); 19 } 20 } 21 }
解题关键:
首先 先序遍历出结果,其次,更新list里元素的前后位置

浙公网安备 33010602011771号