git命令(上)
1.本地库初始化
命令:
git init
效果:
ls -a

注意:.git目录中存放的是本地库相关的子目录和文件,不要删除,也不要胡乱修改。(否则本地库不能正常工作,也无法借助git做版本控制了)
2.设置签名
形式:
用户名:jingjing
Email地址:hello@jingjing.com
作用:
区分不同开发人员的身份
辨析:
这里设置的签名和登录远程库(代码托管中心)的账号、密码没有任何关系。
命令:
- 项目级别/仓库级别:当前当前本地库范围内有效
git config user.name tom_pro
git config user.email goodmorning@atguigu.com
信息保存位置:./.git/config

- 系统用户级别:登录当前操作系统的用户范围
git config --global user.name tom_glb
git config --global user.email goodmorning@atguigu.com
信息保存位置:~/.gitconfig
cd ~
pwd
ls -a
cat .gitconfig

级别优先级:
就近原则:项目级别优先于系统用户级别
如果只有系统用户级别的签名,就以系统用户级别的签名为主
二者都没有不允许
添加提交以及查看状态操作

vim good.txt
查看状态

【备注:没有添加到暂存区,提示为红色,git没有追踪,文件有丢失的风险,】
git add good.txt
查看状态

【备注:添加到暂存区,提示变为绿色,文件较为安全】
移除暂存区中的文件
git rm --cached good.txt
查看状态

提交到本地库
git commit -m "first commit" good.txt

查看状态

vim good.txt
查看状态

【备注:此时可以将修改后的文件添加到暂存区,也可以不添加至暂存区,直接提交到本地库】
git add good.txt
查看状态

git commit -m "second commit" good.txt
查看状态

工作图:

3.查看历史记录的几种不同方式
git log

【多屏显示控制方式:空格向下翻页;b向上翻页;q退出】
git log --pretty=oneline

git log --oneline

git reflog

4.前进后退版本的几种方式
(一)基于索引值前进后退版本【推荐】
git reset --hard [局部索引值]






(二)使用^符号:只能后退
git reset --hard HEAD^
[备注:一个^表示后退一步,n个表示后退n步]
往后退一步:

往后退三步:

(三)使用~符号:只能后退
git reset --hard HEAD~n
[备注:表示后退n步]

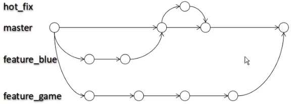
5.分支概述

6.分支操作
查看分支:
git branch -v

创建分支:
git branch [分支名]
查看分支:
git branch -v

切换分支
git checkout [分支名]
查看分支:
git branch -v

操作:


对比:

合并分支
第一步:切换到接受修改的分支(被合并,增加新内容)上
git checkout [被合并分支名]
第二步:执行merge命令
git merge [有新内容分支名]

操作:


冲突的表现:


冲突的解决:
第一步:编辑文件,删除特殊符号
第二步:把文件修改到满意程度,保存退出
第三步:git add [文件名]
第四步:git commit -m "日志信息"
【注意:此时commmit一定不能带文件名】





7.关于远程库操作
查看远程库地址别名:
git remote -v
创建远程库地址别名:
git remote add origin https://github.com/yj127001/ReactAdmin.git
查看
git remote -v

推送:
git push origin [分支名]
克隆:
git clone https://github.com/yj127001/ReactAdmin.git
作用:- 完整的把远程库下载到本地
- 创建origin远程地址别名
- 初始化本地库

浙公网安备 33010602011771号