作业三:CART回归树算法
【题目1】
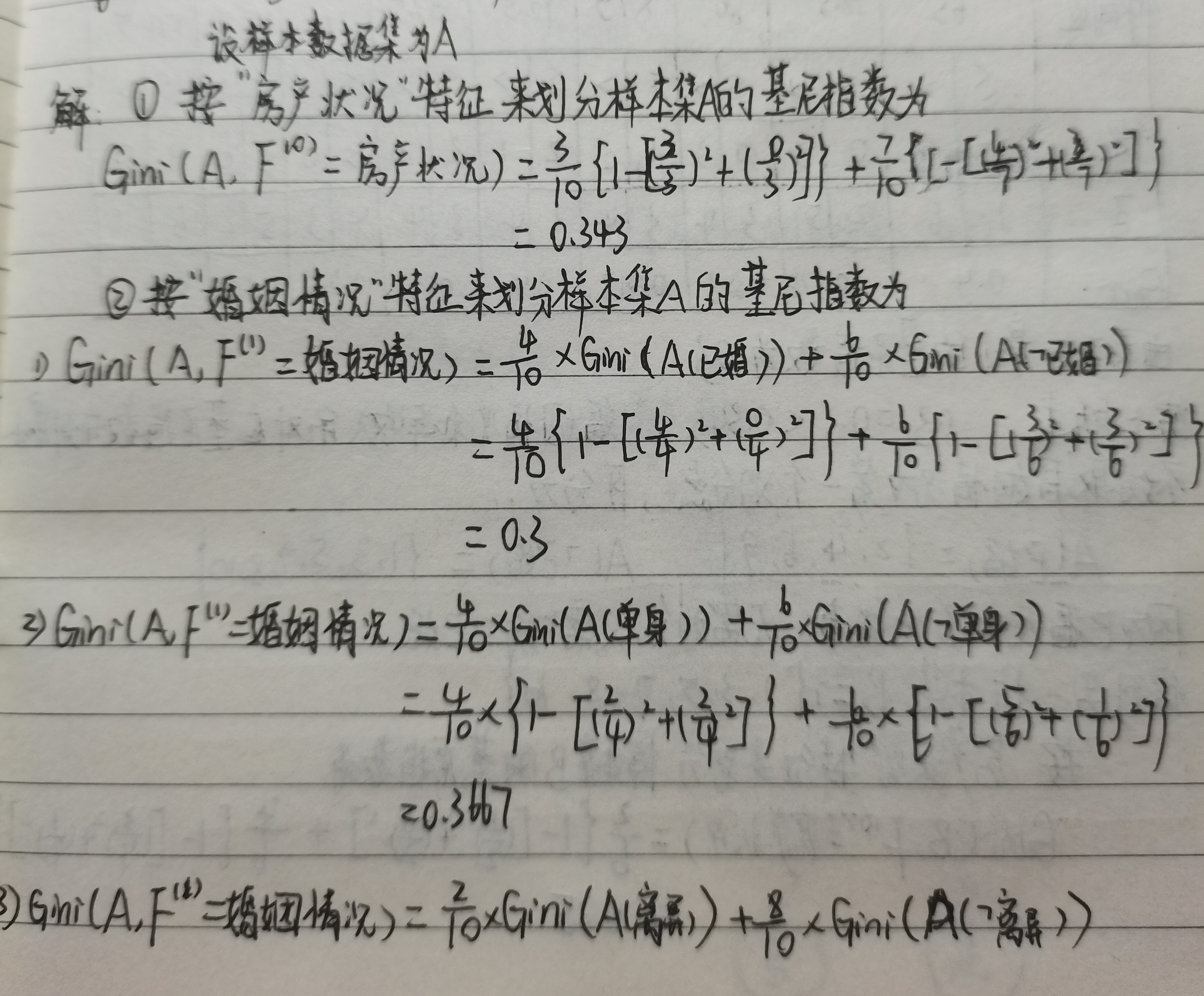
表1为拖欠贷款人员训练样本数据集,使用CART算法基于该表数据构造决策树模型,并使用表2中测试样本集确定剪枝后的最优子树。



【题目2】
已知一批样本数据如下表所示,其中x为输入特征对应值,y为输出值,请建立该批数据的回归树。


【题目1】
表1为拖欠贷款人员训练样本数据集,使用CART算法基于该表数据构造决策树模型,并使用表2中测试样本集确定剪枝后的最优子树。



【题目2】
已知一批样本数据如下表所示,其中x为输入特征对应值,y为输出值,请建立该批数据的回归树。

