计算机网络--概述(一)
- 网络的网络
- ISP
- 主机间的通信方式
- 电路交换和分组交换
- 时延
- 排队时延
- 处理时延
- 传输时延
- 传播时延
- 计算机网络体系结构
- 五层协议
- OSI
- TCP/IP
- 数据在各层之间的传递过程
- 基本概念
- 功能
- 组成
- 性能指标
网络的网络
网络把主机连接起来,而互连网把多种不同的网络连接起来,因此互连网是网络的网络。互联网是全球范围的互连网。

ISP
互联网服务提供商ISP可以从互联网管理机构获得许多IP地址,同时拥有通信线路以及路由器等联网设备,个人或机构向ISP缴纳一定的费用就可以接入互联网。
目前的互联网是一种多层次的结构,ISP根据覆盖面积的大小分为第一层ISP、区域ISP和接入ISP。互联网交换点IXP允许两个ISP直接相连而不用经过第三个ISP。

主机间的通信方式
- 客户服务器(C/S):客户是服务的请求方,服务器是服务的提供方。
- 对等(P2P):不区分客户和服务器
电路交换和分组交换
1.电路交换
电路交换用于电话通信系统,两个用户通信之前需要建立一条专用的物理链路,并且再整个通信过程中始终占用该链路。由于通信的过程中不可能一直在使用传输线路,因此电路交换对线路的利用率很低,往往不到10%。
2.分组交换
每个分组都有首部和尾部,包含了源地址和目的地址等控制信息,在同一个传输路线上传输多个分组不会互相影响,因此在同一条传输线路上允许 同时传输多个分组,也就是说分组不用占用传输路线。
在一个邮局通信系统中,邮局收到一份邮件之后,先存储下来,然后把相同目的地的邮件一起转发到下一个目的地,这个过程就是存储转发过程,分组交换也使用了存储转发过程。
时延
总时延 = 排队时延 + 处理时延 + 传输时延 + 传播时延
1.排队时延
分组在路由器地输入队列和输出队列中排队等待的时间,取决于网络当前的通信量。
2.处理时延
主机或路由器收到分组时进行处理所需要的时间,例如分析首部、从分组中提取数据、进行差错检验或者查找路由。
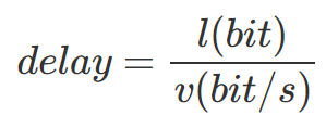
3.传输时延
主机或路由器传输数据帧所需要的时间。

其中 l 表示数据帧的长度,v 表示传输速率。
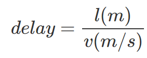
4.传播时延
电磁波在信道上传播所需要的时间,电磁波传播的速度接近光速。

其中,l 表示信道长度,v 表示电磁波在信道上的传播速度。
计算机网络体系结构

| 名称 | 定义 | 功能 |
| 应用层 | 为特定应用程序提供数据传输服务,如HTTP, DNS等协议 | 数据单位为报文 |
| 表示层 | 信息的表示方式,使应用程序不必关心各主机中数据内部格式不同的问题 | 数据格式变换,加密解密,压缩恢复 |
| 会话层 | 建立并管理会话 | 会话管理,校验点 |
| 传输层 | 为进程提供数据传输服务,端到端的通信 | (不)可靠传输,差错控制,流量控制,复用分用 |
| 网络层 | 为主机之间提供数据传输服务。把数据报或者报文段封装成分组 | 路由选择(最佳路径),差错控制,流量控制,拥塞控制 |
| 数据链路层 | 为同一链路的主机提供数据传输服务。将分组封装成帧 | 成帧,差错控制(帧错,位错),流量控制,访问接入控制(控制对信道的访问) |
| 物理层 | 屏蔽传输媒体和通信手段的差异,实现透明传输 | 透明传输(接口特性,传输模式:单、双工,传输速率,比特同步编码) |
1.五层协议
2.OSI 七层协议
3.TCP/IP 四层协议
数据链路层和物理层合并为网络接口层。
不严格遵循OSI分层理念,应用层可能会直接使用IP层或者网络接口层。
4.数据在各层之间的传递过程

路由器只有下三层协议。
基本概念
计算机网络功能:
- 数据通信(连通性)
- 资源共享:硬件,软件,数据
- 分布式处理:hadoop
- 提升链路可靠性
- 负载均衡:在分布式处理的基础上,平衡各主机的工作量
计算机网络的组成:
- 组成部分:协议,硬件,软件
- 工作方式:
- 边缘部分:C/S方式, P2P方式
- 核心部分:为边缘部分服务
- 功能组成:
- 通信子网:实现数据通信
- 资源子网:实现资源共享、数据处理

计算机网络的性能指标:
- 速率(数据率,比特率):主机在信道上传输数据位数的速率
- 带宽(设备支持的最高速度):设备注入数据的速度
- 吞吐量:单位时间通过某个接口的数据量
- 时延:发送时延,传播时延,排队时延,处理时延
- RTT:往返时延 = 传播时延*2 + 处理时间
- 时延带宽积
- 利用率
SDU(服务数据单元) + PCI(协议控制信息) = PDU(协议数据单元)
参考资料:https://github.com/muuya/CS-Notes
浙公网安备 33010602011771号