改善神经网络(第二周优化算法,第三周超参调试)
https://zhuanlan.zhihu.com/p/29895933
momenta算法:


学习率的衰减:在学习初期 ,学习率较大的时候,步伐大,下降快;但是在将近收敛的时候,学习率变小,这样可以保证在最低点附近浮动。
公式:学习率衰减公式:
超参数:衰减指数decay_rate,a0
其他可以用来做学习率衰减的公式:第三种是离散下降

局部最优问题:
这个图是代价函数的等高图,Adam,RMsprop,mpmenta算法可以快速走过平稳段。


在高纬度的代价函数优化问题中,迭代过程中并不会落入局部最优解,而是会得到一个鞍点,右边的图是代价函数图像,所以这个鞍点是梯度为0,但是却不是局部最小值。
第三周:3.3超参数调试


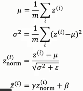
3.4 3.5 正则化网络激活(batch norm)在拟合深度神经网络的时候让学习得更快


z是一个矢量,每一个分量代表的是l层从上到下的线性相加的结果。
batch norm的公式就是右边的四个,这些式子将数据归一化,然后用r,ß来设置这些数据的均值和方差,r为方差,ß是均值。(这里注意区分momentum里面的ß区分开)
在神经元节点之后算出的z进行batch norm得到Zn,再求A,在TensorFlow里面用一句代码就可以:tf.nn.batch-normnalization
bacth norm和minibatch相结合,由于z的均值之后要设置成ß,所以我们在设置wx+b的时候,将b省去,
3.6 原理
batch norm 使得输入值的改变问题,使得输入值得到一定的稳定,这里的输入值是指每一个隐藏层的前一层输出指,batch norm不仅仅是针对神经网络的输入值,还作用于各隐藏层。所以给隐藏层添加了噪音也有一些正则化的作用
3.7 测试时的batch norm
在训练的时候我们得到的batch norm是针对一个个的mini_batch,会有很多个,但是在测试阶段我们没法拿这么多个来用,所以测试使用的batch norm每一层的参数是求之前训练得到的每一层参数的指数加权平均:

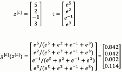
3.8 softmax回归
用于m(m>=2)元分类:输出是一个m*1维的向量。
softmax函数的输入是一个m*1的向量输出也是一个m*1向量:softmax要做的就是激活而且归一化使得结果满足概率的性质。

softmax可以直接用来进行一些线性分类决策,加上神经网络的隐藏层之后softmax就可以用来做非线性分类决策。softmax把二类逻辑回归扩展到多类。
hardmax就是把大的数直接映射成1,小的数映射成0 ,而softmax就比较温和。
3.9 -3.10softmax的训练
在神经网络的训练里面不可缺少的是损失函,所以了解新的激活函数之后要注意使用新的损失函数。
最大似然函数作为损失函数(要注意除以M)
:
注意在这种神经网络里面的y是(c,m),其中的c是种类的个数,m是样本数,输出yhat是(c,m)
浙公网安备 33010602011771号