数据结构与算法之【合并有序链表】详解
题目描述
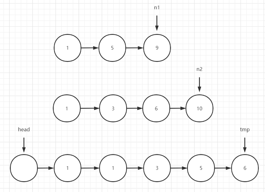
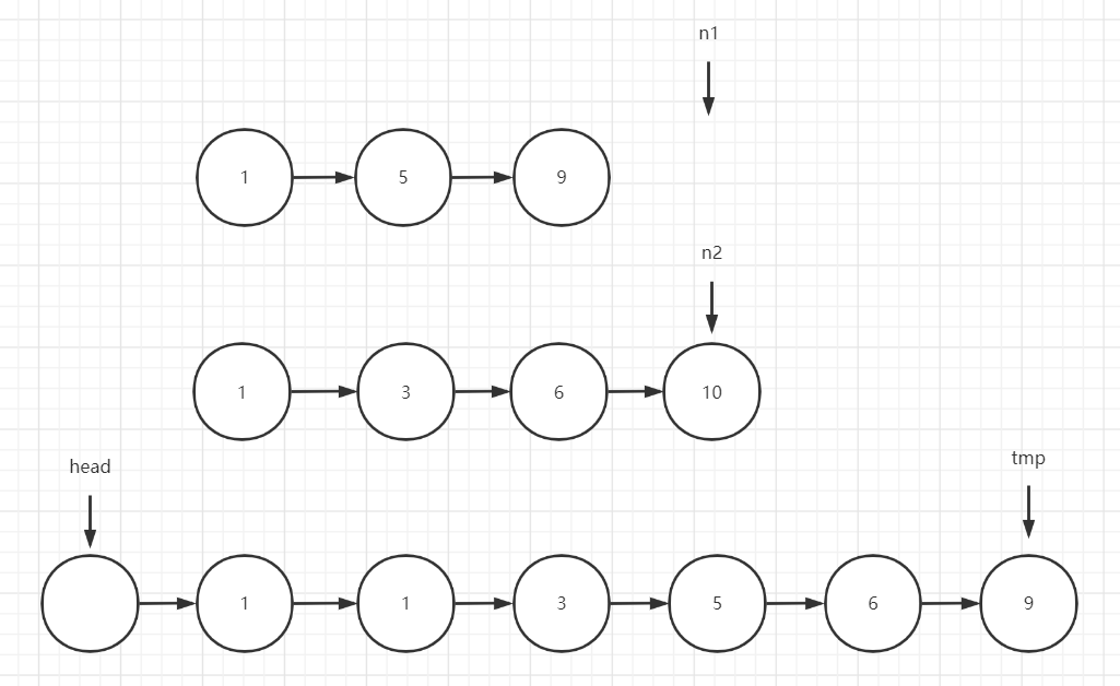
有如下有序链表 n1, n2:
1 -> 5 -> 9
1 -> 3 -> 6 -> 10
要求对链表进行合并,合并后的新链表依然有序:
1 -> 1 -> 3 -> 5 -> 6 -> 9 -> 10
题目解析
由于链表是有序的,因此在遍历 n1, n2 的过程中,只需比较出两个链表较小的节点,将该节点追加在新链表末尾即可。比较步骤分解如下:
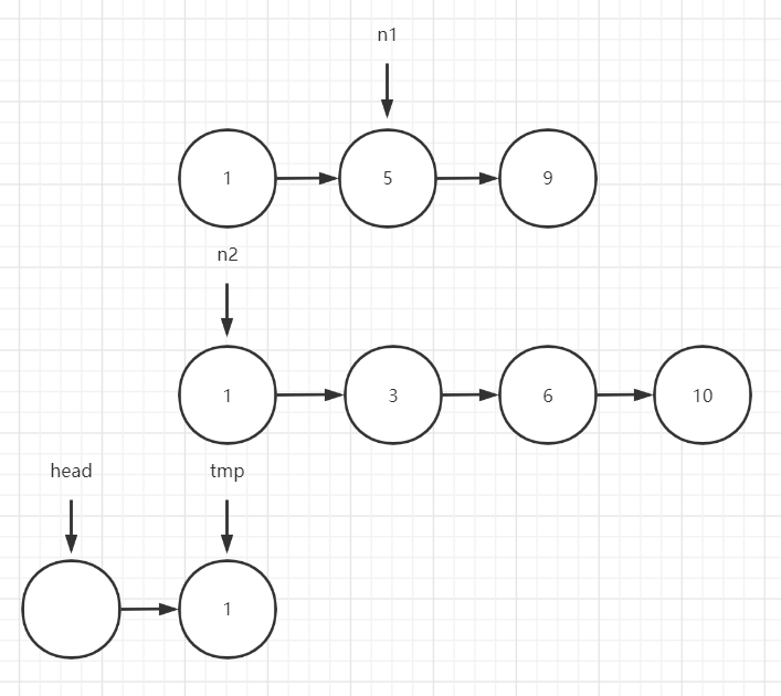
- 创建一个空节点,表示新链表头部,创建两个引用,记为 head, tmp,均指向头节点。head 用于返回新链表,tmp 用于追加链表节点。

- 比较 n1, n2, n1 <= n2 (注意相等的情况),将 n1 追加在 head 末尾,n1 指向的当前节点不再参与后续比较,移动 n1, tmp。

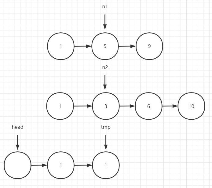
- n2 < n1,追加 n2,移动 n2, tmp。

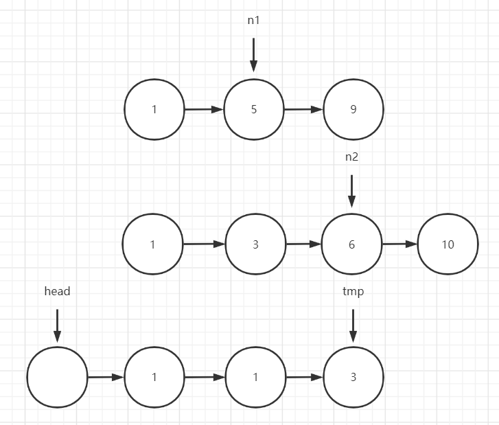
- n2 < n1,追加 n2,移动 n2, tmp。

- n1 <= n2,追加 n1,移动 n1, tmp。

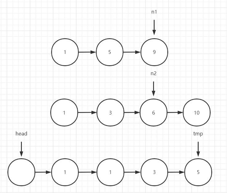
- n2 < n1,追加 n2,移动 n2, tmp。

- n1 <= n2,追加 n1,移动 n1, tmp。

- 此时 n1 指向了空,将 n2 直接追加在 tmp 后面即可。至此合并结束,tmp 无需再移动,head.next 就是新链表的头节点。

经过上述分析,可以得出解题步骤:
- 遍历 n1, n2 链表,将值较小的节点追加在 tmp 节点后,移动 tmp 和较小值节点引用;
- 当 n1, n2 任意一方遍历到空时,停止遍历,将非空的一方追加在 tmp 后;
- 返回 head 的下一个节点。
代码实现
代码实现如下:
/**
* 合并两个有序链表,合并后的链表依然有序
*
* @param n1
* @param n2
* @return
*/
public static Node mergeSortedLinkedList(Node n1, Node n2) {
if (n1 == null && n2 == null) {
throw new RuntimeException("n1, n2 不能都为空");
}
if (n1 == null) {
return n2;
}
if (n2 == null) {
return n1;
}
//创建空的头节点
Node head = new Node();
//创建临时引用,用于追加节点
Node tmp = head;
do {
if (n1.num <= n2.num) {
//若 n1 小,则追加 n1,同时 n1 后移
tmp.next = n1;
n1 = n1.next;
} else {
//若 n2 小,则追加 n2,同时 n2 后移
tmp.next = n2;
n2 = n2.next;
}
//追加节点后,tmp 后移
tmp = tmp.next;
//当 n1, n2 均不为空时,继续比较
} while (n1 != null && n2 != null);
if (n1 == null) {
//若 n1 为空,则追加 n2 整体
tmp.next = n2;
} else {
//若 n2 为空,则追加 n1 整体
tmp.next = n1;
}
//置空 tmp,便于垃圾回收
tmp = null;
//返回新链表的起始引用
return head.next;
}
结果验证
有如下测试代码:
// 创建链表:1 -> 5 -> 9
Node n1 = new Node(1);
n1.next = new Node(5);
n1.next.next = new Node(9);
//创建链表:1 -> 3 -> 6 -> 10
Node n2 = new Node(1);
n2.next = new Node(3);
n2.next.next = new Node(6);
n2.next.next.next = new Node(10);
//合并有序链表 n1, n2
Node head = mergeSortedLinkedList(n1, n2);
System.out.println("n1: " + show(n1));
System.out.println("n2: " + show(n2));
System.out.println("合并后的链表:" + show(head));
输出如下:
n1: [Node{num=1}, Node{num=5}, Node{num=9}]
n2: [Node{num=1}, Node{num=3}, Node{num=6}, Node{num=10}]
合并后的链表: [Node{num=1}, Node{num=1}, Node{num=3}, Node{num=5}, Node{num=6}, Node{num=9}, Node{num=10}]
结果如预期。
浙公网安备 33010602011771号