支持向量机SVM
此系列笔记来源于
Coursera上吴恩达老师的机器学习课程
支持向量机
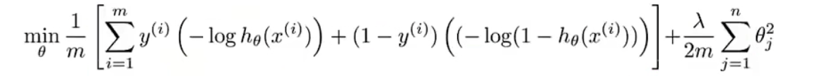
优化目标

我们将逻辑回归中的曲线,变为紫色的线,由一条斜的直线和一条水平直线组成,并将其对应的函数变为\(cost_0(z)\) 和 \(cost_1(z)\)

在逻辑回归中,这个是我们要优化的代价函数,我们按上面所述的更改函数,同时去掉 \(\lambda\) 部分,并在前一项之前加常数 C作为更改权重的参数。
即:\(A + \lambda B\;\rightarrow\;CA+B\)
C可以理解为\(\frac{1}{\lambda}\)
由此我们便能得到SVM中我们所要优化的函数:

这里的假设函数:
大间隔分类器
对于SVM的假设函数,我们当然希望其cost函数为0,由图像可知,

SVM是一种大间隔分类器,即其所绘决策边界与各类之间有着较大的间隔
例:图中黑线,而非绿线和紫线

由于此特性,SVM具有鲁棒性(面对异常时的具有更高的稳定性、容错率)
数学原理:
因为在满足上面的我们希望的条件时,代价函数的前半部分基本等于 0,因此只用讨论第二项 \(\frac{1}{2}\sum^n_{j=1}\theta_j^2\)
首先我们可以将公式 用线性代数的方法如下表示,\(p^{(i)}\)是\(x^{(i)}\)在向量\(\theta\)上的投影,同时我们进行简单化,令 \(\theta_0 = 0\)

首先,向量\(\theta\)因为作为系数,且方程等于0,所以他与决策边界垂直(即点积为0)
蓝色的即为向量\(\theta\),绿色的是决策边界。
我们的目的是最小化 \(||\theta||\)
那么根据图一,此时\(p^{(i)}\)很小,因此为了满足条件,\(||\theta||\)就很大,则矛盾
因此,如图二,此时决策边界是大间距的,向量\(\theta\)与x轴平行 此时\(p^{(i)}\)比起图一显然增大了许多,对应的则\(||\theta||\)就可以变得更小了

浙公网安备 33010602011771号