删除链表重复元素(简单)
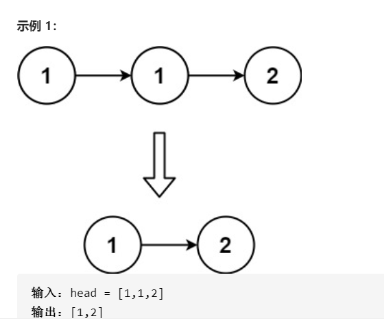
存在一个按升序排列的链表,给你这个链表的头节点 head ,请你删除所有重复的元素,使每个元素 只出现一次 。

思路:设置一个标记,记录当前节点的值,假如链表A->B->C->NULL,记录A的值为flag,如果B的值等于flag,则断开A、B之间的连接,A->next = A->next->next;这里不再重新定义指针变量指向B。
边界情况:链表为空或链表长度为1时,直接返回head;

存在一个按升序排列的链表,给你这个链表的头节点 head ,请你删除所有重复的元素,使每个元素 只出现一次 。

思路:设置一个标记,记录当前节点的值,假如链表A->B->C->NULL,记录A的值为flag,如果B的值等于flag,则断开A、B之间的连接,A->next = A->next->next;这里不再重新定义指针变量指向B。
边界情况:链表为空或链表长度为1时,直接返回head;
