【leetcode】96.不同的二叉搜索树
【leetcode】96.不同的二叉搜索树
/转载请说明出处与作者/
/作者:多巴胺dopamine/
一 问题描述
1 题目
给你一个整数 n ,求恰由 n 个节点组成且节点值从 1 到 n 互不相同的 二叉搜索树 有多少种?返回满足题意的二叉搜索树的种数。
题目链接: 96. 不同的二叉搜索树 - 力扣(LeetCode)
示例 1:

输入:n = 3
输出:5
示例 2:
输入:n = 1
输出:1
提示:
1 <= n <= 19
2 一些些需要了解的概念
2.1 二叉搜索树(Binart Search Tree)
二叉搜索树又叫二叉查找树、二叉排序树。
二叉搜索树首先是二叉树,且具有以下性质:
(1)若左子树不空,则左子树所有节点的值均小于根节点的值。
(2)若右子树不空,则右子树所有节点的值均大于根节点的值。
2.1.1 特点和应用
可以实现快速的插入和删除,同时查找也具有一定优势。
主要在文件系统和数据库系统采用这种数据结构进行排序和检索。
2.2 动态规划
动态规划和递归有一定关系。
核心思想:拆解问题,记住过往,减少重复计算。
二 解题
1 解题思路
(1)遇到树相关的问题很快就想到了递归的方法(树的遍历可以用递归来解决)。
(**2)仔细研究会发现如下规律: **
规定N(0)= 1,这是根据后面发现的规律进行的规定。实际意义:空的二叉排序树也是一种情况。

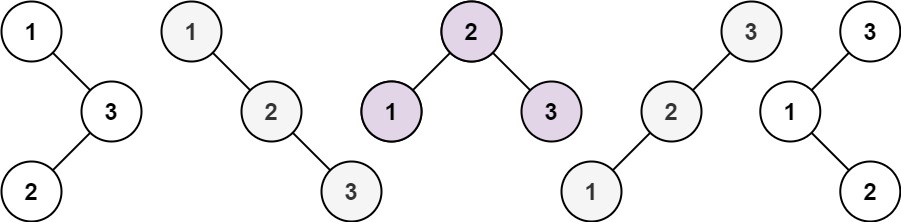
注:以 n=3 为例讲解一下规律是怎么发现的(抱着找递归的思维去找,即分解问题)
![]() |
![]() |
![]() |
|---|---|---|
| 图(1) | 图(2) | 图(3) |
会发现当以 1 为根节点时,左子树为空,右子树为一个二叉排序树(且n=2)。依次类推,得到上面的公式。
(3)提交代码发现超时,思考如何解决超时问题。
(4)首先想到的就是以空间换时间,也就变成了动态规划问题。
本题的递归与动态规划之间有一定联系,见最后的总结部分。
2 代码
2.1 递归代码(超时,作为借鉴)
//二叉搜索树的性质:左子树小于根节点,右字数大于根节点
/*
* 参数说明:
* n,n个节点的二叉搜索树
*/
int numTrees(int n){
//返回变量
int retu_number=0;
//边界条件
if(n==1||n==0){
retu_number=1;
}else{
// 每次循环是:以 i 为根节点的二叉搜索树的个数
// left:以 i 为根节点,其左子树节点的个数
// right:以 i 为根节点,其右子树节点的个数
int i;
for(i=1; i<=n ;i++){
int left=i-1;
int right=n-i;
retu_number=retu_number+numTrees(left)*numTrees(right);
}
}
return retu_number;
}
2.2 动态规划_1
//二叉搜索树的性质:左子树小于根节点,右字数大于根节点
void countTress();
/*
* 初始化函数
* 参数说明:
* n,n个节点的二叉搜索树
*/
int numTrees(int n){
//开辟记录N(n)值的数组的空间
int* Tree_numbers=(int *)malloc(sizeof(int)*20);
int i;
//循环,先计算N(1),再计算N(2),最后计算到N (n)。
//countTress() 仅被调用 n+1 次
for(i=0;i<=n;i++){
countTress(i,Tree_numbers);
}
return Tree_numbers[n];
}
/*
* 计算n个节点的二叉搜索树的种数
* 参数说明:
* n,n个节点的二叉搜索树; Tree_numbers,记录N(n)值的数组
*/
void countTress(int n,int* Tree_numbers){
Tree_numbers[n]=0;
// 临界条件
if(n==0||n==1){
Tree_numbers[n]=1;
}else{
// 这里也用到了递归的思想,但是没有重复调用 countTress() 函数
// 而是直接访问记录之前结果的数组
int i;
for(i=1; i<=n ;i++){
int left=i-1;
int right=n-i;
Tree_numbers[n]=Tree_numbers[n]+Tree_numbers[left]*Tree_numbers[right];
}
}
}
2.3 动态规划_2
与动态规划_1差别不大,只是将两个函数合并成为一个,作为一个参考(可能会减少一定运行时间,毕竟调用函数比较浪费时间)
int numTrees(int n){
int* Tree_numbers=(int *)malloc(sizeof(int)*20);
int i;
for(i=0;i<=n;i++){
Tree_numbers[i]=0;
if(i==0||i==1){
Tree_numbers[i]=1;
}else{
int j;
for(j=1; j<=i ;j++){
int left=j-1;
int right=i-j;
Tree_numbers[i]=Tree_numbers[i]+Tree_numbers[left]*Tree_numbers[right];
}
}
}
return Tree_numbers[n];
}
三 总结
本题的递归与动态规划是有一定联系,但不确定是否使用所有的动态规划问题,因为并未对所有动态规划问题进行总结。(可以作为一种思考思路)
1 动态规划与递归的总结
如果使用递归的算法(以求 N(3)为例):是先求 N(3),在计算 N(3)时发现需要 N(2),依次类推。
会发现 N(2)计算了 2 次, N (1) 计算了 6次 ......,发现递归使得出现了很多的重复计算。
那么可不可以换一种思路(以空间换时间):
当我要从 N(n)时,我先去求 N (0),将它记录下来,再去求 N(1),一直到 N(n)。
当用到前面的值时,直接去查询记录的数组就可以了。这样就将该函数调用了减少到了 (n+1) 次,也就变成了动态规划问题。




浙公网安备 33010602011771号