原型设计工具比较及实现
目录
一、原型设计工具比较
墨刀
Axure
Mockplus
二、原型设计
1.主题名称
2.功能
3.界面设计考虑因素
4.切换界面
5.界面切换流程
一、原型设计工具比较
1、墨刀
适用范围
墨刀是一款在线设计编辑原型的工具,特点短平快,适合一些APP,小型pc工程,以及一些频繁迭代的产品。
优点
墨刀有内置丰富的UI素材和模板,清爽的界面,让设计原型的过程顺畅高效。
墨刀同样支持Sketch设计稿的导入,拖拽式创建交互链接,可以通过链接或者二维码在电脑端或者移动端快捷预览原型。
缺点
组件较少,不适合复杂的交互
免费版对于项目数量、页面数量有限制
2、Axure
适用范围
Axure是专门用来画原型的工具,也可以画流程图。它能快速、高效的创建原型。
优点
设计区域是无限画布,方便给设计稿添加文字注解。在交互效果层面,可以实现非常多条件判断、巧妙运用可以实现更复杂的交互。
缺点
学习成本高
因为细节过于繁琐,所以会加重产品经理或交互设计师在画原型时的负担。
3、Mockplus
适用范围
Mockplus(摹客)是一款简洁快速的原型图设计工具。适合软件团队、个人在软件开发的设计阶段使用。
优点
操作简单,上手快,交互简单(只需拖曳就可以)
功能多样,组件资源丰富,预览方式和导出类型多样,支持团队协作
mockplus有组件库和图标库,界面设计较为方便
缺点
表格功能不够完善
不支持鼠标悬停,手机预览不是很清楚,日历表组件是静态的。
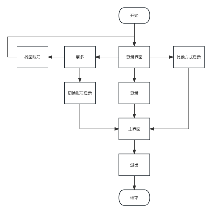
二、原型设计
1.主题名称:顾得二手交易平台
2.功能:账号登录、找回、商品主界面浏览等。
3.界面设计考虑因素:界面设计简单,信息详尽,功能齐全,保证二手交易平台商品的展示与交易质量。
4.界面切换
界面组成:一键登录、更多、登录手机号、更多登录方式。
前置条件:点击进入手机APP
后置操作:切换账号或找回账号、登录到主界面
操作步骤:点击更多或点击一键登录图标可以进行后续操作

界面组成:找回账号和切换账号。
前置条件:点击更多
后置操作:切换账号或找回账号
操作步骤:点击找回账号或点击切换账号图标可以进行后续操作

界面组成:账号和密码输入框、一键登录按钮。
前置条件:点击切换账号
后置操作:进入主界面
操作步骤:输入账号和密码点击一键登录可以进行后续操作

界面组成:绑定邮箱手机号和密码输入框、找回按钮。
前置条件:点击找回密码
后置操作:重新登录
操作步骤:输入邮箱手机号和密码点击确认找回可以进行后续操作

界面组成:搜索框、商品图片选项栏。
前置条件:点击一键登录
后置操作:搜索商品或进行其他操作
操作步骤:点击搜索图标或其他图标可以进行后续操作

5.界面切换流程

浙公网安备 33010602011771号