数组详解
数组的定义
数组是相同类型数据的有序集合
数组描述的是相同类型的若干个数据,按照一定的先后次序排列组合而来
其中,每一个数据称作一个数组元素,每个数组元素可以通过一个下标来访问它们
数组声明创建
首先必须声明数组变量,才能在程序中使用数组。
dataType[ ] arrayRefVar; //首选的方法
dataType arrayRefVar[ ]; //效果相同,但不是首选方法
Java语言使用new操作符来创建数组,
dataType[ ] arrayTefVar = new dataType[arraySize];

数组的元素是通过索引访问的,数组索引从0开始 
获取数组长度: arrays.length
数组的四个基本特点
其长度是确定的。数组一旦被创建,它的大小就是不可以改变的。
其元素必须是相同类型
数组中的元素可以是任何数据类型,包括基本类型和引用类型
数组本身就是对象,Java中对象是在堆中的,因此数组无论保存原始类型还是其他对象类型,数组对象本身是在堆中的。
数组边界
下标的合法区间:[0, length-1]
数组是相同数据类型(数据类型可以为任意类型)的有序集合
数组也是对象。数组元素相当于对象的成员变量
数组长度的确定的,不可变的。如果越界,则报:ArrayIndexOutofBounds
数组的使用
普通的For循环
For-Each循环
数组作方法入参
数组作返回值
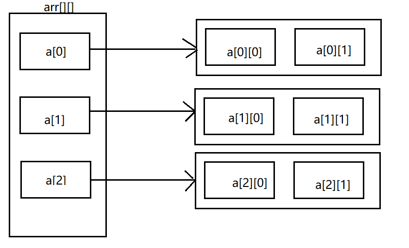
多维数组
多维数组可以看成是数组的数组,比如二维数组是特殊的一维数组 
Arrays类
Arrays类中的方法都是static修饰的静态方法,在使用的时候可以直接使用类名进行调用,而“不用”使用对象来调用(注意:是“不用”而不是“不能”)
冒泡排序
冒泡的代码还是相当简单的,两层循环,外层冒泡轮数,里层依次比较,江湖中人尽皆知。嵌套循环,时间复杂度为O(n2)
稀疏数组
当一个数组中大部分元素为0,或者为同一值的数组时,可以使用稀疏数组来保存该数组。
稀疏数组的处理方式是:
记录数组一共有几行几列,有多少个不同值
把具有不同值的元素和行列及值记录在一个小规模的数组中,从而缩小程序的规模

浙公网安备 33010602011771号