Attention机制
转自:
https://easyai.tech/ai-definition/attention/
https://www.zhihu.com/question/68482809
https://zhuanlan.zhihu.com/p/46313756
paper 《NEURAL MACHINE TRANSLATION BY JOINTLY LEARNING TO ALIGN AND TRANSLATE》
1、为什么要引入Attention机制?
根据通用近似定理,前馈网络和循环网络都有很强的能力。但为什么还要引入注意力机制呢?
- 计算能力的限制:当要记住很多“信息“,模型就要变得更复杂,然而目前计算能力依然是限制神经网络发展的瓶颈。
- 优化算法的限制:虽然局部连接、权重共享以及pooling等优化操作可以让神经网络变得简单一些,有效缓解模型复杂度和表达能力之间的矛盾;但是,如循环神经网络中的长距离以来问题,信息“记忆”能力并不高。
- 可以借助人脑处理信息过载的方式,例如Attention机制可以提高神经网络处理信息的能力。*
2、Attention机制有哪些(怎么分类)?
当用神经网络来处理大量的输入信息时,也可以借鉴人脑的注意力机制,只选择一些关键的信息输入进行处理,来提高神经网络的效率。按照认知神经学中的注意力,可以总体上分为两类:
- 聚焦式(focus)注意力:自上而下的有意识的注意力,主动注意——是指有预定目的、依赖任务的、主动有意识地聚焦于某一对象的注意力;
- 显著性(saliency-based)注意力:自下而上的有意识的注意力,被动注意——基于显著性的注意力是由外界刺激驱动的注意,不需要主动干预,也和任务无关;可以将max-pooling和门控(gating)机制来近似地看作是自下而上的基于显著性的注意力机制。
在人工神经网络中,注意力机制一般就特指聚焦式注意力。
另外也有其它分类类型,如分Soft、Hard两种 见第四部分。
3、Attention机制的计算流程是怎样的?

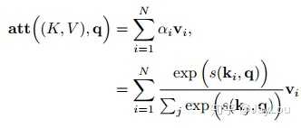
Attention机制的实质:寻址(addressing)Attention机制的实质其实就是一个寻址(addressing)的过程,如上图所示:给定一个和任务相关的查询Query向量 q,通过计算与Key的注意力分布并附加在Value上,从而计算Attention Value。这个过程实际上是Attention机制缓解神经网络模型复杂度的体现:不需要将所有的N个输入信息都输入到神经网络进行计算,只需要从X中选择一些和任务相关的信息输入给神经网络。
上面的图看起来比较抽象,下面用一个例子来解释 attention 的原理:

图书管(source)里有很多书(value),为了方便查找,我们给书做了编号(key)。当我们想要了解漫威(query)的时候,我们就可以看看那些动漫、电影、甚至二战(美国队长)相关的书籍。
为了提高效率,并不是所有的书都会仔细看,针对漫威来说,动漫,电影相关的会看的仔细一些(权重高),但是二战的就只需要简单扫一下即可(权重低)。当我们全部看完后就对漫威有一个全面的了解了。
基本步骤如下:

step1-从输入信息中确定Key和value,并计算相似度:用$X = [x_1, · · · , x_N]$表示N个输入信息,令Key=Value=X,query和key进行相似度计算,得到权值;
step2-权值归一化(softmax)计算注意力分布:利用softmax进行权值归一化,则可以给出注意力分布:
$ \alpha_i=softmax(s(key_i, q))=softmax(s(x_i, q)) $
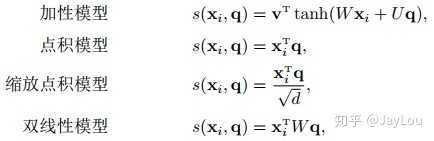
我们将$ \alpha_i $称之为注意力分布(概率分布),$ s(x_i, q) $为注意力打分机制,有几种打分机制:

step3-信息加权平均,即权重和Value进行加权求和:注意力分布$ \alpha_i $可以解释为在上下文查询q时,第i个信息受关注的程度,采用一种“软性”的信息选择机制对输入信息X进行编码为:
$ att(q,X)=\sum_{i=1}^{N}{\alpha_iX_i} $
这种编码方式为软性注意力机制(soft Attention),软性注意力机制有两种:普通模式(Key=Value=X)和键值对模式(Key!=Value)。

结合paper《NEURAL MACHINE TRANSLATION BY JOINTLY LEARNING TO ALIGN AND TRANSLATE》再来看下attention过程:

这里h是encoder的hidden state,是输入信息的编码,s是decoder的hidden state。在论文中value和key取h,query取s。
4、Attention机制的变种有哪些?
与普通的Attention机制(上图左)相比,Attention机制有哪些变种呢?
- 变种1-硬性注意力:之前提到的注意力是软性注意力,其选择的信息是所有输入信息在注意力 分布下的期望。还有一种注意力是只关注到某一个位置上的信息,叫做硬性注意力(hard attention)。硬性注意力有两种实现方式:(1)一种是选取最高概率的输入信息;(2)另一种硬性注意力可以通过在注意力分布式上随机采样的方式实现。硬性注意力模型的缺点:
硬性注意力的一个缺点是基于最大采样或随机采样的方式来选择信息。因此最终的损失函数与注意力分布之间的函数关系不可导,因此无法使用在反向
传播算法进行训练。为了使用反向传播算法,一般使用软性注意力来代替硬性注意力。硬性注意力需要通过强化学习来进行训练。
- 变种2-键值对注意力:即上图右边的键值对模式,此时Key!=Value,注意力函数变为:
- 变种3-多头注意力:多头注意力(multi-head attention)是利用多个查询Q = [q1, · · · , qM],来平行地计算从输入信息中选取多个信息。每个注意力关注输入信息的不同部分,然后再进行拼接:
5、一种强大的Attention机制:为什么自注意力模型(self-Attention model)在长距离序列中如此强大?
- 卷积或循环神经网络难道不能处理长距离序列吗?
当使用神经网络来处理一个变长的向量序列时,我们通常可以使用卷积网络或循环网络进行编码来得到一个相同长度的输出向量序列,如图所示:
- 要解决这种短距离依赖的“局部编码”问题,从而对输入序列建立长距离依赖关系,有哪些办法呢?
如果要建立输入序列之间的长距离依赖关系,可以使用以下两种方法:一 种方法是增加网络的层数,通过一个深层网络来获取远距离的信息交互,
另一种方法是使用全连接网络。 ——《神经网络与深度学习》

由上图可以看出,全连接网络虽然是一种非常直接的建模远距离依赖的模型, 但是无法处理变长的输入序列。不同的输入长度,其连接权重的大小也是不同的。
这时我们就可以利用注意力机制来“动态”地生成不同连接的权重,这就是自注意力模型(self-attention model)。由于自注意力模型的权重是动态生成的,因此可以处理变长的信息序列。
总体来说,为什么自注意力模型(self-Attention model)如此强大:利用注意力机制来“动态”地生成不同连接的权重,从而处理变长的信息序列。
- 自注意力模型(self-Attention model)具体的计算流程是怎样的呢?
见 Transformer 部分。
6、Transformer(Attention Is All You Need)详解
* 1) Transformer的整体架构是怎样的?由哪些部分组成?
* 2) Transformer Encoder 与 Transformer Decoder 有哪些不同?
* 3) Encoder-Decoder attention 与self-attention mechanism有哪些不同?
* 4) multi-head self-attention mechanism具体的计算过程是怎样的?
* 5) Transformer在GPT和Bert等词向量预训练模型中具体是怎么应用的?有什么变化?
扩展,attention机制实现具体步骤case
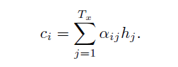
attention机制实现的基本思路三部曲,参见论文《neural machine translation by jointly learning to align and translate》,首先根据场景定义出attention变量 \(c_i\)
1 梳理出与attention变量的相关参数\(s_{i-1}\)、\(h_j\)
2 使用一层前馈网络\(\alpha\)处理,该层网络的输入即上步梳理的\(s_{i-1}\)、\(h_j\),输出维度根据需要设置,然后进行归一化softmax处理,最终the weight \(\alpha_{ij}\) of each annotation \(h_j\) is computed by

3 得到的权重因子 \(\alpha_{ij}\)与第一步梳理得到的关键变量\(h_j\)做加权求和得到最终的attention变量 \(c_i\):

tensorflow 典型实现示例:
def _attention(self, query, key, units, name ,reuse):
# we are doing this to perform addition to calculate the score
query = tf.expand_dims(query, 1) # (batch_size, 1, hidden_size)
Q = tf.layers.dense(query, units, activation=tf.nn.relu, name='mul_att_q_' + name, reuse=reuse) # (batch_size, 1, units)
K = tf.layers.dense(key, units, activation=tf.nn.relu, name='mul_att_k_' + name,reuse=reuse) # ((batch_size, seq_length, units)
V = tf.layers.dense(key, units, activation=tf.nn.relu, name='mul_att_v_' + name,reuse=reuse) # (batch_size, seq_length, units)
#l2 正则归一
Q = tf.nn.l2_normalize(Q, dim=2) # (batch_size, 1, units)
K = tf.nn.l2_normalize(K, dim=2) # ((batch_size, seq_length, units)
V = tf.nn.l2_normalize(V, dim=2) # (batch_size, seq_length, units)
# score shape == (batch_size, seq_length, 1)
# we get 1 at the last axis because we are applying score to self.V
G = Q + K # ((batch_size, seq_length, units)
score = tf.layers.dense(G, 1, activation=tf.nn.tanh, name='mul_att_score_' + name, reuse=reuse) # (batch_size, seq_length, 1)
# attention_weights shape == (batch_size, seq_length, 1)
attention_weights = tf.nn.softmax(score, axis=1)
context_vector = attention_weights * V # (batch_size, seq_length, units)
context_vector = tf.reduce_sum(context_vector, axis=1) # (batch_size, units)
return context_vector, attention_weights

浙公网安备 33010602011771号