FM+DNN模型融合 / FM及其变形
FM模型想必大家都不陌生,在排序模型刚起步的年代,FM很好地解决了LR需要大规模人工特征交叉的痛点,引入任意特征的二阶特征组合,并通过向量内积求特征组合权重的方法大大提高了模型的泛化能力。但标准FM的缺陷也恰恰是只能做二阶特征交叉,所以与DNN结合可以帮助我们捕捉特征之间更复杂的非线性关系。实际上,强如DIN这类的深度学习模型,在实际业务场景中,往往也要结合LR等简单模型联合训练才能在线上拿到正向收益。
我们先来简单回顾下FM模型。
FM
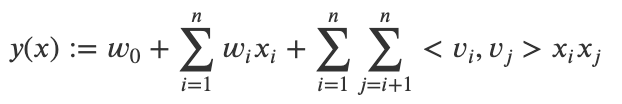
FM函数形式如上图所示。
FM 模型直接引入任意两个特征的二阶特征组合。对于每个特征,FM学习一个大小为k的一维向量,任意两个特征组合的权重值,通过特征对应的向量的内积来求出。
这么做的好处就是,即使两个特征从来没有同时在训练样本中出现过,我们也可以通过计算他们的向量的内积来得到他们组合的权重。因为FM是学习单个特征的embedding,并不依赖某个特定的特征组合是否出现过,所以只要特征xi和其它任意特征组合出现过,那么就可以学习自己对应的 embedding 向量。
此外,我们可以通过对二阶部分化简,使其时间复杂度降到线性时间,使其满足工业化需求。化简过程如下,分步骤化简参考优雅的FM。
FM为每个特征都学习一个大小为k的一维向量,这本质上是在对特征进行向量化表示,和现在各种实体embedding的思想是一致的。而且观察FM公式中的二阶部分,不考虑最外层的求和,可以得到一个K维的向量。所以可以将FM二阶部分得到的向量或对二阶部分的计算做特殊处理之后作为DNN的输入。根据结合方式的不同,又可以分为以下两种结构:
(1)并行结构:代表模型deepFM;
(2)串行结构:代表模型NFM、AFM。
下面将会对这些模型一一做介绍。
FNN
一句话介绍:使用FM隐向量作为DNN模型embedding的初始化值。
FNN可以看作FM与DNN的串行结构,其核心思想也很简单,这里就不多做介绍了。
NFM
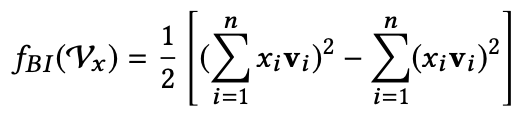
NFM模型的预测公式如下:

其中,f(x)是用来建模特征之间交互关系的多层前馈神经网络模块,架构图如下:

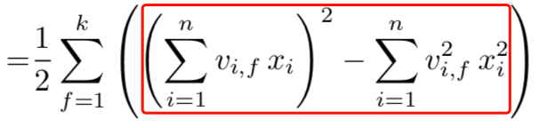
Embedding Layer和我们之间几个网络是一样的,embedding 得到的vector就是我们在FM中要学习的隐变量v。
B-Interaction Layer其实它就是计算FM中的二次项的过程。前面提到过,对于FM二阶部分化简结果,如果不考虑最外层的求和,可以得到一个K维的向量,即下图中的红框内的部分。

红框部分即为下式,最终结果是一个k维的向量:

Hidden Layers就是我们的DNN部分,将B-Interaction Layer得到的结果接入多层的神经网络进行训练,从而捕捉到特征之间复杂的非线性关系。
在进行多层训练之后,将最后一层的输出求和同时加上一次项和偏置项,就得到了我们的预测输出:

我们知道在FM模型中,当某个特征与其他特征做交叉时,都是用同样的向量去做计算。但是不同特征之间的交叉,重要程度是不一样的。那如何体现这种重要度呢?有以下两个方法:
(1)FFM
(2)attention 机制
FFM并不属于FM与DNN结合的模型,不过这里还是简单介绍下。
FFM
在 FFM 中,每一个特征xi,针对其他特征的每一种field fj,都会学习一个隐向量 vi,fj。也就是说,隐向量不仅和特征相关,也和field相关。什么是field?举例来说,在排序模型中我们通常会对“国别”这类的离散特征做哑编码,即one-hot,那么“国别”就是一个field,经过也编码之后得到的多个特征同属于“国别”这个field。
在 FM 模型中,每一维特征的隐向量只有一个;在 FFM 模型中,假设样本的 n个特征属于 f 个field,那么 FFM 的二次项有 nf个隐向量。FM 可以看作 FFM 的特例,是把所有特征都归属到一个field时的 FFM 模型。
FFM模型方程如下:

可以看到,如果隐向量的长度为 k,那么FFM的二次参数有 n*f*k 个,远多于FM模型的 nk个。
此外,由于隐向量与field相关,FFM二次项并不能够化简,其预测复杂度是 O(kn^2)。
AFM
以上的模型,都是FM都是以串行结构与DNN结合,下面要介绍的deepFM则是经典的并行结构。
deepFM
deepFM在Wide & Deep结构框架基础上,使用 FM 取代Wide部分的LR。这么做的好处是,WDL模型wide部分仍然需要人工特征工程,deepFM则可以将工程师从特征工程中解放出来。
模型结构图如下:

模型包含两部分:因子分解机部分与神经网络部分,分别负责低阶特征的提取和高阶特征的提取;需要注意的是FM层 与 NN层 共享相同特征的 embedding。这么做有以下两个优点:
(1)降低模型复杂度;
(2)在embedding的学习中同时接收与来自低阶、高阶组合部分的反馈,从而学到更好的特征表示。
xDeepFM
其实xDeepFM严格来讲并不属于FM与DNN结合的模型,xDeepFM是DCN模型的扩展版本。
DCN 的Cross层虽然可以显示自动构造高阶特征,但它是以元素级(bit-wise)的方式。xDeepFM的动机,则是在DCN模型的基础上,将FM的vector-wise的思想引入Cross部分。其模型整体架构如下:

浙公网安备 33010602011771号