线性方程组的方法-数值分析-王兵团-北京交通大学
[Class]数值分析.王兵团.北京交通大学.全128讲[48:35:32]_哔哩哔哩_bilibili

注解:
1.线性代数中线性方程组的方法:克拉默法则。
线性方程组:
Ax=b
解:
xi=Di/D
如果A可逆,还可以写成:x=A-1/b
方程组的解是:系数行列式某一项换成等式右端常数项/系数行列式。
既然可以有这么好的公式,那为何还要学习其它解法呢?答:好多数学的公式一旦用到计算机里面,就不行了。
有人实验过,100万/s的计算量,解算40阶的线性方程组的解,要算一年。
天气预报的话有几百万几千万的方程组,怎样快速解出来?
大规模集成电路也需要解大规模方程组的。
人们需要快速求解大规模的线性方程组,这样,理论解就不行了。
数值分析讲的是怎样用计算机快速求出数学问题的解。


注解:
1.如果方程组的数量>未知数个数,没有解,或者有最小二乘解。
2.如果如果方程组的数量<未知数个数,没有解,有无穷多解。
3.如果如果方程组的数量=未知数个数,有唯一解。计算机做的最多的是这种情况:即方(阵)的情况。
4.线性方程组怎么得来的?答:每次实验得来的。
5.一个系统,有n个元器件,xi代表第i个元器件,每个元器件相当于一个变量xi,它们之间的变化有一定的关系。每实验一次,得到一个它们之间相互关系的方程。实验n次,得到n个方程。通过方程组,求出n个元器件情况。


注解:
1.计算机求的解都是近似解。
2.学一个东西,怎样学好?答:通过类比去看。

注解:
1.简单迭代法是怎样做的?
答:
数值分析6(2简单迭代法)苏州大学_哔哩哔哩_bilibili


注解:
1.初值可以给成:[0,0,0,...].
2.x是一个向量。

注解:
1.构造迭代格式所用的等价形式一定是有的。
2.未必都收敛的意思:比如,如果c给的合适,就收敛,如果不合适,就不收敛。
3.前文的引例就是example9.

注解:
1.xk代表第k步的迭代值。xk是一个向量,所以ε(k)也是一个向量,是指第k步的迭代误差。
2.红色部分的等式是一个递推式子。
3.。。。完全取决于迭代矩阵B,跟初值怎样选择是没有关系的。那看一下什么样的矩阵迭代B,它的(k+1)次幂作用到一个非零向量上,当k趋近于无穷大时能让误差逐步收敛到0?


注解:
1.或者后面的等式:相当于范数收敛于0数值。
2.||B||,这个范数未必是2范,1范,2范,3范,4范。。。无穷范都行的。只要找到B的某范数小于1就行。
3.不同的范数,值不一样,有可能2范小于1,但无穷范数可能>1,也有可能1、2、3范数>1,但这并不能说明所有范数都是>1的,有可能是有<1的范数,没有找到。
4.范数有无穷多个,不可能逐一检验。

注解:
1.所有的范数,都是>=谱半径的。
2.这样就不用着1范,2范,3范,或者几范了,只要谱半径<1,迭代就会收敛。只要谱半径>=1,就不收敛。


注解:
1.等价变形等式的两端都有未知向量,也就是都有未知参数。

注解:
1.线性方程组迭代求解,做的比较早的是Jocobi,
2.如果是方程两边只有一个变量,那么可以直接求出这个参数变量的值,但是线性方程组的变量有很多,比如有30个,那么可以:利用第一个方程组把第一个变量x1解出来,利用第二个方程把第二个参数变量x2表示出来,。。。

注解:
1.其实(3.5)式可以表示成矩阵的的形式,但是Jacobi时代矩阵的概念可能还没出来。
2.那我可以第一个方程解第二个变量,第二个方程我解第一个变量,这样可以吗?答:可以,但是没有规律。(3.5)式有唯一性。
3.那也可以第一个方程解第n个变量,第n个变量解第1个变量,这样也可以,但是这样的做法不是最简单的做法。

注解:
1.这个公式就是著名的Jacobi迭代公式。
2.使用Jacobi迭代公式计算线性方程组的解就叫做Jacobi迭代法。
3.在欣赏别人做的东西的同时,看还能不能改进了,不要迷信、神话专家。做不了大的突破,小的突破也可以,这种意识一定要有。----王兵团
4.Jacobi迭代过程中,看方程组里面的第一个方程,当使用第k次的参数向量的值带入第1个式子解出等式左边的x1的时候,x1的值是第k+1次的值了。此时,解第2个方程的时候,第2个方程右边的x1具备了新的值,那可不可以把更新后值带入呢?答:可以。应该带入更新后的值,按照这个思路,当利用第n个方程对第n个参数进行迭代计算的时候,方程右边所有的参数变量都更新了新的值了。这样的话,就得到了如下的Seidel公式了:

注解:
1.有人在Jacobi迭代公式的基础上做了一次小小的加工,做的工作很少,但是留名了。他就是Seidel.
2.数学公式构造都要有一个特点,要准确,要快速。
3.只看第n个方程,方程左边的参数(也是参数向量的最后一个参数)的值已经是第k+2次的值了。
4.对比Jacobi迭代来说,Seidel从第k次迭代到第k+1次后参数向量的第n个分量,是Jacobi迭代法从第k+1次迭代到k+2次后参数向量的第n个分量。
5.都收敛的情况下,Seidel迭代比Jacobi迭代能更快的收敛。

1是Jacobi迭代是收敛范围,3是Seidel迭代的收敛范围,2是他们共同的收敛范围。在区域2中,Seidel迭代比Jacobi迭代收敛的更快,也就是前者比后者有更快的收敛速度。
6.随着电子计算机的发展,现在有并行计算,可以很多计算机同时做一个任务。Jacobi迭代更适合于并行计算。在Jacobi迭代中,给出参数向量xk,可以并行算出参数向量xk+1。而Seidel迭代是一环套一环的,只能依次计算,这样的话,Jacobi迭代又比Seidel迭代快了。
7.有一些旧的知识点随着新技术尤其是计算机技术和算法的发展,可能又会焕发出青春。


注解:
1.把变量的差作为迭代的补偿,为了使得补偿变得更加丰富,加上一个松弛因子,通过放大或者缩小Δx,以调控新的值,最终目的是使得迭代更快的收敛。

注解:
1.不动点的理解:在方程的右边带入参数向量(x1,x2,x3),得到的点还是(x1,x2,x3),但是值是新值。
然后,写出线性方程组的Jacobi和Seidel迭代格式:

注解:
1.考试题目:写出一个线性方程组的Jacobi迭代格式,Seidel迭代格式。

注解:
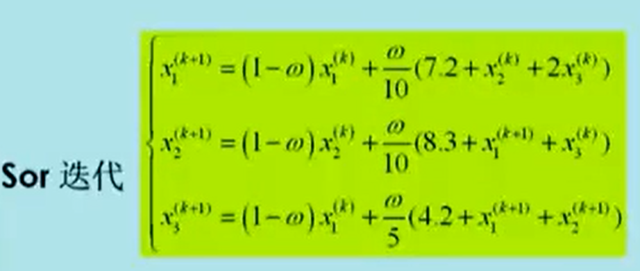
1.这是Sor(超松弛)迭代格式。
下面的内容是用矩阵写线性方程组。那能否通过矩阵描述线性方程组的迭代计算呢?



注解:
1.迭代矩阵B是一个常数矩阵。


注解:
1.一个数列收敛的定义是:
lim xk=x*(k趋近于无穷)<=> lim |xk-x*|(k趋近于无穷)=0
绝对值代表距离,两个数的距离趋近于0,说明它们靠的越来越近。
2.向量收敛怎样定义?
答:向量可以看成是空间的一个点。
向量的收敛还是从距离的角度进行定义。
3.范数就是距离,是空间的距离。

注解:
1.还有个p范数,可以包含这3中范数。
||x||p=
2.以平面点(3, 4)为例,1范是7,2范是5,无穷范数是4. 1范是走直角后的距离,2范是走斜边的距离,无穷范数是先像y轴投影,再走较长边的距离。
3.研究这么多范数的目的,是为了研究距离,研究距离的目的是为了定义收敛。距离为趋近于0意味着无限靠近,这意味着收敛。


注解:
1.人们把矩阵看成是特殊的向量。

[Class]数值分析.王兵团.北京交通大学.全128讲[48:35:32]_哔哩哔哩_bilibili
浙公网安备 33010602011771号