可导与连续
导数概念大合集,彻底理清楚连续 导数 导函数连续 二阶导存在 二阶导连续之间的概念 以及抽象函数洛必达怎么用_哔哩哔哩_bilibili


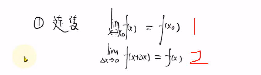
第1点相当于说函数在某一点连续。 第2点可相当于说函数在某一小区间连续。

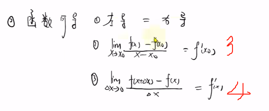
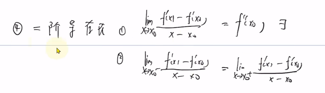
第3点相当于说函数在某一点可导。 第4点可相当于说函数在某一个小区间内可导。

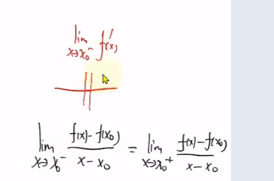
上面是函数的导数的左极限,下面是函数的左导数。只有导函数连续的时候才相等。





导数概念大合集,彻底理清楚连续 导数 导函数连续 二阶导存在 二阶导连续之间的概念 以及抽象函数洛必达怎么用_哔哩哔哩_bilibili


第1点相当于说函数在某一点连续。 第2点可相当于说函数在某一小区间连续。

第3点相当于说函数在某一点可导。 第4点可相当于说函数在某一个小区间内可导。

上面是函数的导数的左极限,下面是函数的左导数。只有导函数连续的时候才相等。




