P3 矩阵乘法和逆矩阵
http://bilibili.com/video/BV1AC4y187WN?p=3&spm_id_from=pageDriver
要点:
- 矩阵乘法。
- 逆矩阵。
















矩阵乘法至此就讲清楚了。







上一讲已经讲过,矩阵相乘,C的每一行相当于是B的行向量的线性组合。C的第一行是A的第一行的值作为权重对B的行向量进行的线性组合,C的第二行是A的第二行的值作为权重对B的行向量进行的线性组合。


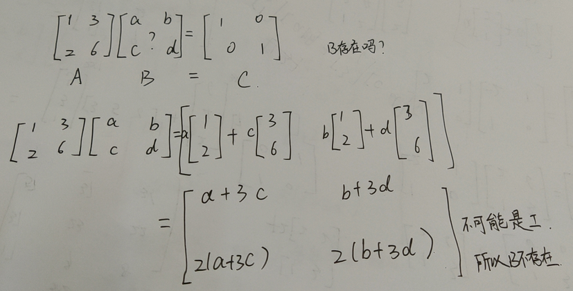
可逆矩阵就是一个矩阵经过一系列初等(行)变换后,可以变成单位阵的矩阵。但是这个矩阵在第二步的初等行变换的时候怎么也变不成单位阵,所以它不可逆。就是B矩阵无论什么样对C矩阵的行进行的线性组合都不会变成C矩阵的第一行[1 0].

A的两个列向量共线。


下面是可逆矩阵的求法。





这个是增广矩阵。

增广矩阵。


系数矩阵在讲课的时候写错了。






这里的E是两个初等矩阵的乘积。


浙公网安备 33010602011771号