P13 向量组04
http://bilibili.com/video/BV1Gf4y1S7e5?p=13


注解:
- 行列式,行和列处于同等的地位。
- 高维向量可以表示低维向量,低维向量不能表示高维向量。
- 被表示的维度低,主动表示的维度高。维度高的秩大,维度低的秩小。



注解:
- a向量组可以由b向量组表示,被表示的向量组秩大不,所以a向量组的秩小。

注解:
- A与B拼起来的秩少1.
- 两个矩阵拼起来,秩可能会变小。



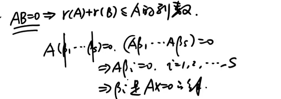
证明:






注释:
- 部分解可以被全部解表示,被表示的秩不大,所以r(B)≤n-r(A).


注解:
- 意味着A中存在n-1阶行列式不是0.
- 伴随阵是由代数余子式构成的,某元素的代数余子式是去掉它所在的行与列,剩余的n-1阶元素构成的,所以存在一个代数余子式不是0.所以伴随阵的秩至少是1.


注解:
- 秩小于n-1,就意味着任意n-1阶子式都是0.这意味着伴随矩阵的元素都是0元素,所以伴随矩阵的秩只能是0.


注解:
- 求矩阵的秩的时候,可以做初等行变换,也可以做初等列变换。




注解:
- 最后两列不成比例,立即得秩是2

注解:
- 3是A的列数。





注解:
- 基不一定是正交的3个3维向量。
- 线性无关的3个向量也可以是3维空间的一组基。
- 基是有无数个的。



注解:
- 任意一个向量α不仅可以在一组正交基里面表示,也可以用任意一个基中表示。



注解:
- 定理9揭示了不同坐标系下的坐标变换公式。


第3讲完结!
浙公网安备 33010602011771号