一、题目描述:
给你一颗 $n$ 个点,$m$ 条边的简单无向图,可能不连通。
我们定义 $鱼图$ 为满足以下条件的无向图:
$包含恰好\ 1\ 个环,环上有\ 1\ 个特殊的结点\ u\ ,u\ 除了连在环上的\ 2\ 条边外还正好有\ 2\ 条边连向不在此环上的结点。$
求是否存 $鱼图$。若存在,输出 $YES$ 和这个鱼图。若不存在,输出 $NO$。数据范围 $1\leq n,m\leq 2\times 10^3$。
二、解题思路:
我们考虑找到上述 $特殊的节点$ 。
发现这个节点只要在环中,并且只要有 $4$ 条边就行了。
边数好判断,怎么判断一个点是否在环中呢?
$sb-yhy$ 告诉我们,可以用拓扑排序判环。
是的,我们确实可以用拓扑排序判环,于是我就寄了。
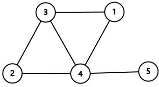
给大家看这样一个图:

这个神奇的 $4$ 号节点其实不在环上,但是却不会被判出来。
所以,可以使用拓扑排序判断是否有环,但不能使用拓扑排序判断一个点是否在环上。
那该如何判断呢?考虑 $dfs$ 找环,于是我就又寄了。
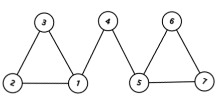
给大家看这样一个图:

在这个图中,如果我们找到的环是 $4-1-3-2-4$,你就会发现 $4$ 号节点只剩下一条边没有连在环上,满足不了 $鱼图$ 的条件了。
所以我们要找最小环。于是请 $bfs$ 登场。
记录下前驱,如果搜到已经搜过的点,那么环就找到了,于是我又寄了。
回到最上面那个图:

我们会搜索到 $2$ 号和 $3$ 号节点相连,但 $4$ 号节点仍然不在环中。
所以我 $很聪明的$ 去看了题解,得到了 $Alex\_wei$ 的启发:
$记录下每个节点是从原点的哪一个邻接点出来的,记为\ top_i。如果\ top_i\ 不一样,则找到了环。$
于是我终于 $顺利$ 地过掉了这个题。时间复杂度 $O(n \times m)$。
三、完整代码:
1 #include<iostream> 2 #define N 2010 3 #define to edge[i].v 4 using namespace std; 5 int T,n,m,x,u1,v1,cc,l,r; 6 int h[N],q[N],f[N],d[N],du[N],tp[N],vis[N],pre[N]; 7 struct EDGE{ 8 int v,nxt; 9 }edge[N*2]; 10 int head[N],cnt; 11 void add(int u,int v) 12 { 13 edge[++cnt].v=v; 14 edge[cnt].nxt=head[u]; 15 head[u]=cnt; 16 } 17 void print(int s,int u,int v) 18 { 19 for(int i=1;i<=n;i++)f[i]=0; 20 x=u;while(x!=s)f[x]=1,x=pre[x],cc++; 21 x=v;while(x!=s)f[x]=1,x=pre[x],cc++; 22 cout<<"Yes"<<'\n'<<cc<<'\n'; 23 x=u;while(x!=s) 24 cout<<x<<" "<<pre[x]<<'\n',x=pre[x],cc--; 25 x=v;while(x!=s) 26 cout<<x<<" "<<pre[x]<<'\n',x=pre[x],cc--; 27 cout<<u<<" "<<v<<'\n',cc--; 28 for(int i=head[s];i!=-1;i=edge[i].nxt) 29 if(!f[to]&&cc) cout<<s<<" "<<to<<'\n',cc--; 30 } 31 int Try(int u) 32 { 33 l=r=0; 34 for(int i=1;i<=n;i++) f[i]=0; 35 for(int i=head[u];i!=-1;i=edge[i].nxt) 36 q[++r]=to,pre[to]=u,f[to]=1,tp[to]=to; 37 while(l<r) 38 { 39 int x=q[++l]; 40 for(int i=head[x];i!=-1;i=edge[i].nxt) 41 if(pre[x]!=to&&!vis[x]) 42 { 43 if(!f[to])q[++r]=to,f[to]=1,pre[to]=x,tp[to]=tp[x]; 44 else if(tp[x]!=tp[to]) {print(u,x,to);return 1;} 45 } 46 } 47 return 0; 48 } 49 void top_sort() 50 { 51 l=r=0; 52 for(int i=1;i<=n;i++) 53 d[i]=du[i]; 54 for(int i=1;i<=n;i++) 55 if(du[i]==1) 56 q[++r]=i,vis[i]=1; 57 while(l<r) 58 { 59 int u=q[++l]; 60 for(int i=head[u];i!=-1;i=edge[i].nxt) 61 { 62 du[to]--; 63 if(!vis[to]&&du[to]<2) 64 q[++r]=to,vis[to]=1; 65 } 66 } 67 for(int i=1;i<=n;i++) 68 du[i]=d[i]; 69 } 70 void solve() 71 { 72 cin>>n>>m;cnt=0;cc=3; 73 for(int i=1;i<=n;i++) 74 head[i]=-1,f[i]=du[i]=vis[i]=0; 75 for(int i=1;i<=m;i++) 76 { 77 cin>>u1>>v1; 78 add(u1,v1),du[u1]++; 79 add(v1,u1),du[v1]++; 80 } 81 top_sort(); 82 for(int i=1;i<=n;i++) 83 if(du[i]>=4&&!vis[i]) 84 if(Try(i)) return ; 85 cout<<"NO"<<'\n'; 86 } 87 int main() 88 { 89 ios::sync_with_stdio(false); 90 cin.tie(0);cout.tie(0); 91 cin>>T; 92 for(int i=1;i<=T;i++) 93 solve(); 94 return 0; 95 }
四、写题心得:
原来我的图论板块还有这么多漏洞,还得好好学啊。加油!拜拜!
浙公网安备 33010602011771号