1、为什么要序列化
内存中的字典、列表、集合以及各种对象,如何保存到一个文件中?
如果是自己定义的类的实例,如何保存到一个文件中?
如何从文件中读取数据,并让它们在内存中再次恢复成自己对应的类的实例?
要设计一套协议,按照某种规则,把内存中数据保存到文件中。文件是一个字节序列,所以必须把数据
转换成字节序列,输出到文件。这就是序列化。
反之,从文件的字节序列恢复到内存并且还是原来的类型,就是反序列化。
2、定义
序列化保存到文件就是持久化。
可以将数据序列化后持久化,或者网络传输;也可以将从文件中或者网络接收到的字节序列反序列化。
Python 提供了pickle 库。
2.1、serialization序列化
将内存中对象存储下来,把它变成一个个字节。 数据结构 → 二进制
2.2、deserialization 反序列化
将文件的一个个字节恢复成内存中对象。 二进制 → 数据结构
3、pickle模块
3.1、函数介绍
函数 说明
dumps # 对象序列化为bytes对象
dump # 对象序列化到文件对象,就是存入文件
loads # 从bytes对象反序列化
load # 对象反序列化,从文件读取数据
3.2、示例代码【dump、load】
# 序列化至文件
import pickle
filename = 'c:/ser'
# 序列化后看到什么
i = 99
c = 'c'
l = list('123')
d = {'a': 127, 'b': 'abc', 'c': [1, 2, 3]}
# 序列化
with open(filename, 'wb') as f:
pickle.dump(i, f)
pickle.dump(c, f)
pickle.dump(l, f)
pickle.dump(d, f)
# 反序列化
with open(filename, 'rb') as f:
print(f.read(), f.seek(0))
for i in range(4):
x = pickle.load(f)
print(i, x, type(x))
3.3、序列化应用
一般来说,本地序列化的情况,应用较少。大多数场景都应用在网络传输中。
将数据序列化后通过网络传输到远程节点,远程服务器上的服务将接收到的数据反序列化后,就可以使用了。
但是,要注意一点,远程接收端,反序列化时必须有对应的数据类型,否则就会报错。尤其是自定义类,必须远程得有一致的定义。
现在,大多数项目,都不是单机的,也不是单服务的,需要多个程序之间配合。需要通过网络将数据传送到其他节点上去,这就需要大量的序列化、反序列化过程。
但是,问题是,Python程序之间可以都用pickle解决序列化、反序列化,如果是跨平台、跨语言、跨协议pickle就不太适合了,就需要公共的协议。例如XML、Json、Protocol Buffer、msgpack等。
不同的协议,效率不同、学习曲线不同,适用不同场景,要根据不同的情况分析选型。
注:目前有6个版本pickle协议,3.4增加了v4,3.8增加了v5(PEP 574)
4、JSON
4.1、简介
JSON(JavaScript Object Notation, JS 对象标记) 是一种轻量级的数据交换格式。它基于 ECMAScript 1999年ES3 的一个子集,采用完全独立于编程语言的文本格式来存储和表示数据。
http://json.org/
https://www.json.org/json-zh.html
4.2、Json的数据类型
4.2.1、值
双引号引起来的字符串、数值、true和false、null、对象、数组,这些都是值

4.2.2、字符串
由双引号包围起来的任意字符的组合,可以有转义字符。
4.2.3、数值
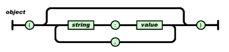
4.2.4、对象
无序的键值对的集合
格式: {key1:value1, ... ,keyn:valulen}
key必须是一个字符串,需要双引号包围这个字符串。
value可以是任意合法的值。

4.2.5、数组
有序的值的集合
格式:[val1,...,valn]

4.2.6、JSON实例
{
"person": [
{
"name": "tom",
"age": 18
},
{
"name": "jerry",
"age": 16
}
],
"total": 2
}
5、JSON模块
5.1、Python 与 JSON类型对比
Python类型 Json类型 说明
True true
False false
None null
str string
int integer
float float
list array 数组
dict object 对象
5.2、常用方法
Python类型 Json类型
dumps json编码
dump json编码并存入文件
loads json解码
load json解码,从文件读取数据
5.3、示例
import json
d = {'name':'Tom', 'age':20, 'interest':('music', 'movie'), 'class':['python']}
j = json.dumps(d)
print(j, type(j)) # 请注意引号、括号的变化,注意数据类型的变化
d1 = json.loads(j)
print(type(d1), d1)
print(d == d1)
print(d is d1)
5.4、小结
一般json编码的数据很少落地,数据都是通过网络传输。传输的时候,要考虑压缩它。
本质上来说它就是个文本,就是个字符串。
json很简单,几乎编程语言都支持Json,所以应用范围十分广泛。
6、MessagePack
6.1、简介
6.1.1、介绍
MessagePack是一个基于二进制高效的对象序列化类库,可用于跨语言通信。
它可以像JSON那样,在许多种语言之间交换结构对象。
但是它比JSON更快速也更轻巧。
支持Python、Ruby、Java、C/C++等众多语言。宣称比Google Protocol Buffers还要快4倍。
兼容 json和pickle。
6.1.2、压缩对比图

# 72 bytes
{"person":[{"name":"tom","age":18},{"name":"jerry","age":16}],"total":2}
# 48 bytes
# 82 a6 70 65 72 73 6f 6e 92 82 a4 6e 61 6d 65 a3 74 6f 6d a3 61 67 65 12 82
a4 6e 61 6d 65 a5 6a 65 72 72 79 a3 61 67 65 10 a5 74 6f 74 61 6c 02
可以看出,大大的节约了空间。
6.2、msgpack模块安装
6.3、常用方法介绍
packb 序列化对象。提供了dumps来兼容pickle和json。
unpackb 反序列化对象。提供了loads来兼容。
pack 序列化对象保存到文件对象。提供了dump来兼容。
unpack 反序列化对象保存到文件对象。提供了load来兼容。
6.4、示例
import pickle
import json
import msgpack
# 导入的模块,就是标识符
methods = (pickle, json, msgpack)
d = {'person': [{'name': 'tom', 'age': 18}, {'name': 'jerry', 'age': 16}], 'total': 2}
for m in methods:
s = m.dumps(d)
print(m.__name__, type(s), len(s), s)
# pickle 101
# json 72
# msgpack 48
print('-' * 30)
u = msgpack.loads(s)
print(type(u), u)
u2 = msgpack.loads(s, raw=False) # 新版,raw=True数据使用bytes
print(type(u2), u2)
6.5、小结
MessagePack简单易用,高效压缩,支持语言丰富。
所以,用它序列化也是一种很好的选择。Python很多大名鼎鼎的库都是用了msgpack。
上例中,之所以pickle比json序列化的结果还要大,原因主要是pickle要解决所有Python类型数据的序列
化,要记录各种数据类型包括自定义的类。而Json只需要支持少数几种类型,所以就可以很简单,都不
需要类型的描述字符。但大多数情况下,我们序列化的数据都是这些简单的类型。