因为有你,所以出彩!C语言编程中不可或缺的条件判断和循环
在编程语言中,判断和循环可以说是最重要的之一,正因为实现了它们的功能,才能够有如今各种各样功能的程序。今天小编带大家来了解一些条件判断和循环的知识。

1.if条件判断语句
第一种形式

使用方法

流程图
第二种形式

使用方法

流程图
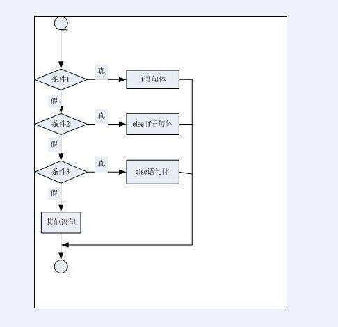
第三种形式

使用方法

流程图
2.while 循环
当需要反复执行一些过程时,就可以用while循环。

流程图
使用方法:
while (1) {
//.....
}
while (条件) {
//....
}
while (1) {
if (条件) {
break;
}
}
使用的时候注意死循环,不同的场合对循环的需求是不一样的。
3.for 循环

for循环流程图
功能上和while循环等效的!但是在循环次数已知的情况下使用for循环更为方便。
使用方法:
for (表达式1; 表达式2; 表达式3) {
循环体
}
表达式1:为循环作准备。
表达式2:循环条件。
表达式3:改变循环条件。
注意:表达式1,表达式2和表达式2都可以省略,但要注意加分号,分号不能够省略。
5.do-while 循环

do-whlie循环流程图
对于while循环和for循环先判断条件,在执行循环体。
而do-while循环主要是先执行循环体,在进行判断。
使用方法:
do {
循环体;
} while (0);
主要用于#define宏定义

浙公网安备 33010602011771号