高级语言程序设计课程第四次个人作业
一、运行程序
1.

2.

二、设计程序
1.

2.

3.

4.
源码

输出1

输出2

5.

6.

7.

8.

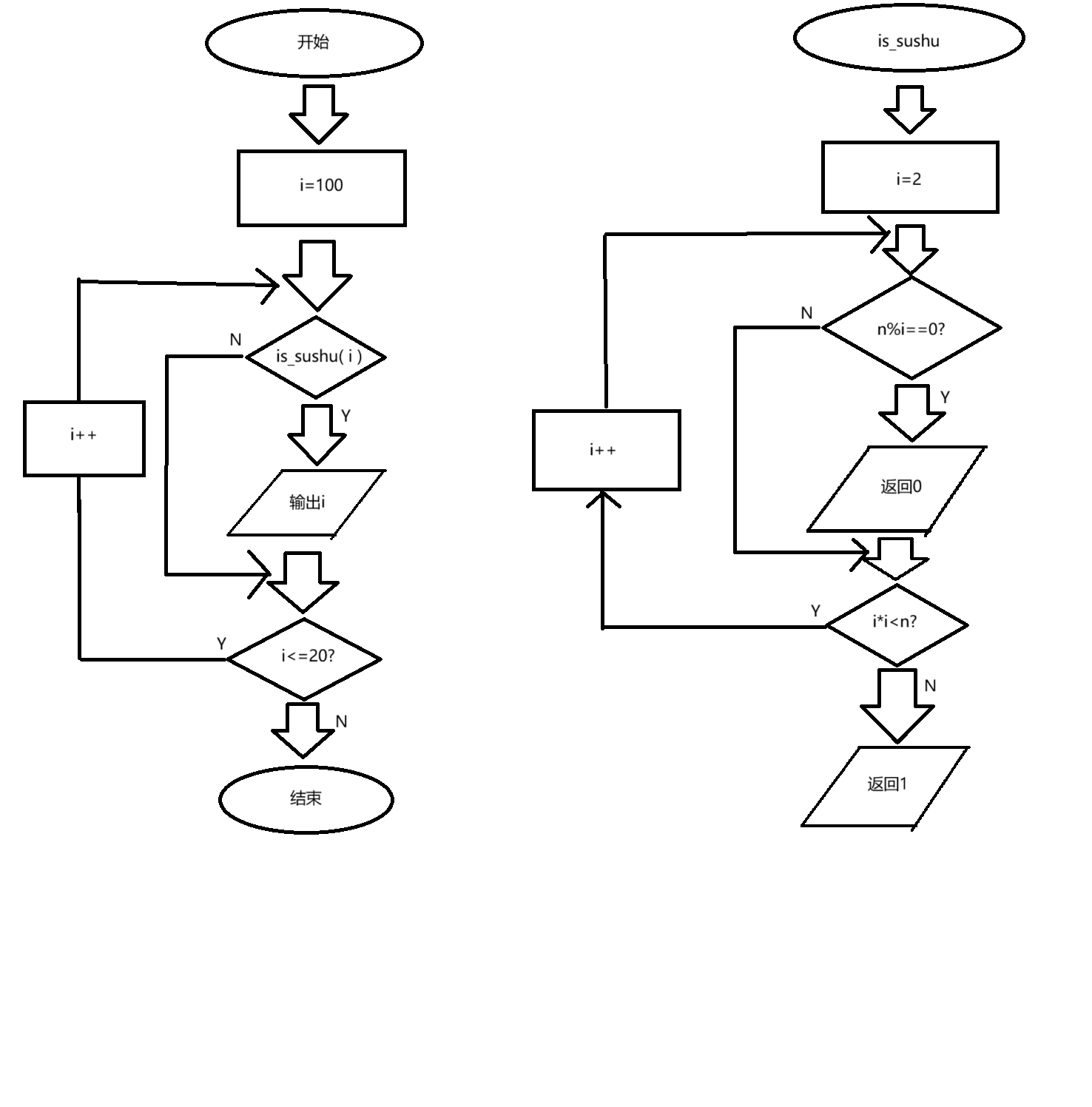
算法思想:定义一个函数用于判断输入的数n是否为素数,在函数内部用for循环遍历2到根号n之间的数,判断n%i是否等于0,如果是返回0,最后返回1。之后用for循环遍历100到200的数,调用函数判断是否为素数,如果是则输出。
传统流程图:

NS流程图:

三、课本6.16练习
1.







四、课本练习7.12
1.





一、运行程序
1.

2.

二、设计程序
1.

2.

3.

4.
源码

输出1

输出2

5.

6.

7.

8.

算法思想:定义一个函数用于判断输入的数n是否为素数,在函数内部用for循环遍历2到根号n之间的数,判断n%i是否等于0,如果是返回0,最后返回1。之后用for循环遍历100到200的数,调用函数判断是否为素数,如果是则输出。
传统流程图:

NS流程图:

三、课本6.16练习
1.







四、课本练习7.12
1.




