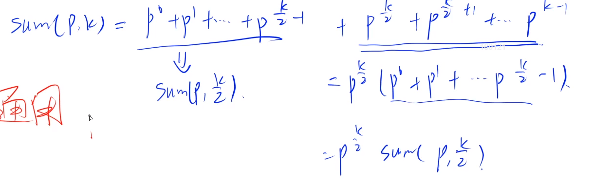
AcWing 算法提高课 通过递推求等比数列的和(防止使用逆元出现问题)
基于分治的思想:

例题:https://www.acwing.com/problem/content/99/
模板:
求num^0+num^1+...+num^k
const int MOD=9901; int QuickExp(int base,int exp) { base%=MOD; int res=1; while(exp) { if(exp&1) { res*=base; res%=MOD; } base*=base; base%=MOD; exp>>=1; } return res; } int Sum(int num,int k) { if(k==0) return 1; if(k%2) { return (1+QuickExp(num,k/2+1))*Sum(num,k/2)%MOD; } else { return (1+num*Sum(num,k-1))%MOD; } }

浙公网安备 33010602011771号