AcWing 算法提高课 矩阵乘法
可以用快速幂的形式求大量的相同矩阵乘法。
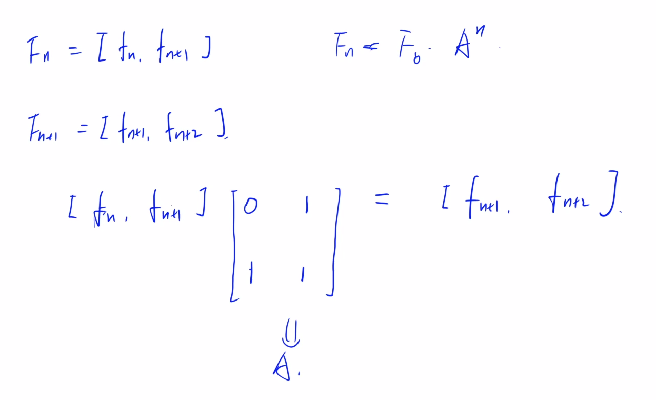
1、快速幂求斐波那契数列的第n项(n很大)
先将斐波那契数列的递推转化成矩阵形式

然后用快速幂求解A^n
例题:求斐波那契数列的前n项和(n很大)
可以将上例的行向量变为Fn=(fn,fn+1,Sn),矩阵A变为{{0,1,0}, {1,1,1}, {0,0,1}}进行递推
https://www.acwing.com/problem/content/1305/
2、斐波那契相关复杂序列构建矩阵乘法(例题):
https://www.acwing.com/problem/content/1306/
3、矩阵乘法优化dp
如果dp的转移方式是固定系数,则可以用矩阵乘法进行优化
https://www.acwing.com/problem/content/1307/

浙公网安备 33010602011771号