AcWing 算法提高课 拓展欧几里得算法 同余
拓展欧几里得算法:
1、模板:https://www.cnblogs.com/ydUESTC/p/16676229.html
2、原理:

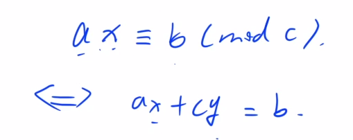
3、应用:拓展欧几里得算法解线性同余方程:

4、例题:
(1)线性同余方程:
https://www.acwing.com/problem/content/205/
(2)含负数的ExGCD应用:
https://www.acwing.com/problem/content/224/
注意,(1)和(2)中都要求得最小正整数解,可以发现,在得到特解、通解过后,得到一个正余数即可。
即对特解x1、通解x:x = x1 + k * b / gcd(a, b)
求出x1对b/gcd(a,b)的正余数。(由于b/gcd(a,b)可能为负,故取模时需要取绝对值,并且需要取正余数的处理,详见(2))

浙公网安备 33010602011771号