LeetCode-剑指 Offer 36. 二叉搜索树与双向链表
输入一棵二叉搜索树,将该二叉搜索树转换成一个排序的循环双向链表。要求不能创建任何新的节点,只能调整树中节点指针的指向。
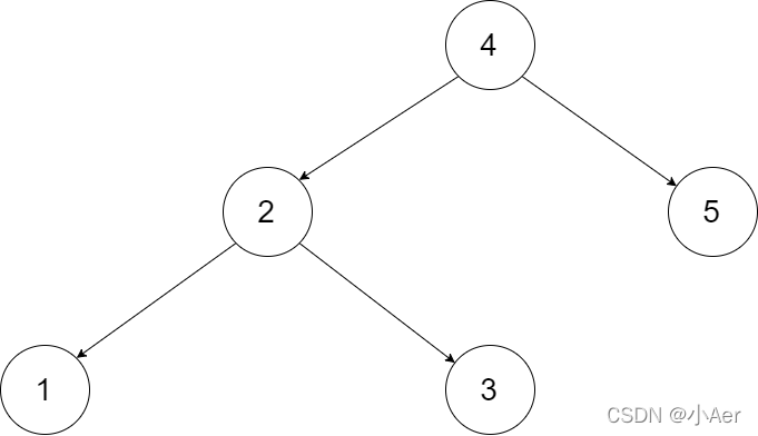
为了让您更好地理解问题,以下面的二叉搜索树为例:

我们希望将这个二叉搜索树转化为双向循环链表。链表中的每个节点都有一个前驱和后继指针。对于双向循环链表,第一个节点的前驱是最后一个节点,最后一个节点的后继是第一个节点。
下图展示了上面的二叉搜索树转化成的链表。“head” 表示指向链表中有最小元素的节点。

特别地,我们希望可以就地完成转换操作。当转化完成以后,树中节点的左指针需要指向前驱,树中节点的右指针需要指向后继。还需要返回链表中的第一个节点的指针。
代码:
思路1:先用stack存储先序遍历二叉搜索树的结果,然后更新stack每一个结点的left和right,注意后继执行对数组长度取余操作,因为最后一个结点加1之后超出数组范围了。
"""
# Definition for a Node.
class Node:
def __init__(self, val, left=None, right=None):
self.val = val
self.left = left
self.right = right
"""
class Solution:
def treeToDoublyList(self, root: 'Node') -> 'Node':
if not root: return None
stack = []
r = root
def cur(r):
if not r: return
cur(r.left)
stack.append(r)
cur(r.right)
cur(r)
head = stack[0]
for i in range(len(stack)):
stack[i].left = stack[i-1]
stack[i].right = stack[(i+1)%len(stack)]
return head
思路2:直接在中序遍历的时候修改前驱和后继,
- 首先要设置前驱指针head,当他为空,说明找到先序遍历第一个结点,指向当前结点r之后,不会发生变化,
- 然后设置前驱变量指向当前结点;
- 接着就是前驱变量后继等于当前结点,当前结点前驱就是前驱变量;
- 最后把head和pre处理一下前驱后继就好了
"""
# Definition for a Node.
class Node:
def __init__(self, val, left=None, right=None):
self.val = val
self.left = left
self.right = right
"""
class Solution:
def treeToDoublyList(self, root: 'Node') -> 'Node':
if not root: return None
def cur(r):
if not r: return
cur(r.left)
if self.head:
self.pre.right, r.left = r, self.pre
else:
self.head = r
self.pre = r
cur(r.right)
self.head = None
cur(root)
self.pre.right, self.head.left = self.head, self.pre
return self.head

浙公网安备 33010602011771号