LeetCode-剑指 Offer 37. 序列化二叉树
请实现两个函数,分别用来序列化和反序列化二叉树。
你需要设计一个算法来实现二叉树的序列化与反序列化。这里不限定你的序列 / 反序列化算法执行逻辑,你只需要保证一个二叉树可以被序列化为一个字符串并且将这个字符串反序列化为原始的树结构。
提示:输入输出格式与 LeetCode 目前使用的方式一致,详情请参阅 LeetCode 序列化二叉树的格式。你并非必须采取这种方式,你也可以采用其他的方法解决这个问题。
示例:

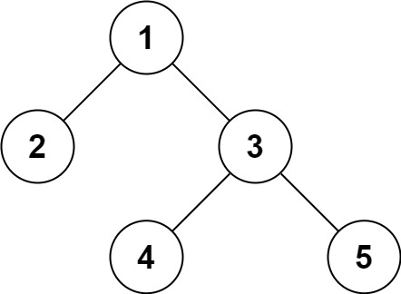
输入:root = [1,2,3,null,null,4,5]
输出:[1,2,3,null,null,4,5]
来源:力扣(LeetCode)
链接:https://leetcode-cn.com/problems/xu-lie-hua-er-cha-shu-lcof
著作权归领扣网络所有。商业转载请联系官方授权,非商业转载请注明出处。
思路:序列化自己写的没有问题,但是反序列化,在自己写的时候没有想到层序遍历,导致无法随着data的后移赋值给指定指针,看了解析发现还是需要层序遍历,每次拿出第一个结点,同时随着data下标的移动,正好对上,依次赋值就好了,代码也很清晰,好理解
# Definition for a binary tree node.
# class TreeNode(object):
# def __init__(self, x):
# self.val = x
# self.left = None
# self.right = None
class Codec:
def serialize(self, root):
"""Encodes a tree to a single string.
:type root: TreeNode
:rtype: str
"""
if not root: return "[]"
res = []
queue = collections.deque([root])
while len(queue) != 0:
out = queue.popleft()
if out:
res.append(str(out.val))
queue.append(out.left)
queue.append(out.right)
else:
res.append('null')
return '[' + ','.join(res) + ']'
def deserialize(self, data):
"""Decodes your encoded data to tree.
:type data: str
:rtype: TreeNode
"""
if data == '[]': return
vis, i = data[1:-1].split(','), 1
tree = TreeNode(int(vis[0]))
queue = collections.deque([tree])
while queue:
out = queue.popleft()
if vis[i] != 'null':
out.left = TreeNode(int(vis[i]))
queue.append(out.left)
i += 1
if vis[i] != 'null':
out.right = TreeNode(int(vis[i]))
queue.append(out.right)
i += 1
return tree
# Your Codec object will be instantiated and called as such:
# codec = Codec()
# codec.deserialize(codec.serialize(root))

浙公网安备 33010602011771号