前端工作总结132-vue里面为什么要加key
没有key
<div id="app">
<div>
<input type="text" v-model="name">
<button @click="add">添加</button>
</div>
<ul>
<li v-for="(item, i) in list">
<input type="checkbox"> {{item.name}}
</li>
</ul>
<script>
// 创建 Vue 实例,得到 ViewModel
var vm = new Vue({
el: '#app',
data: {
name: '',
newId: 3,
list: [
{ id: 1, name: '李斯' },
{ id: 2, name: '吕不韦' },
{ id: 3, name: '嬴政' }
]
},
methods: {
add() {
//注意这里是unshift
this.list.unshift({ id: ++this.newId, name: this.name })
this.name = ''
}
}
});
</script>
</div>
当选中吕不为时,添加楠楠后选中的确是李斯,并不是我们想要的结果,我们想要的是当添加楠楠后,一种选中的是吕不为

key1.jpg

key3.jpg
有key
<div id="app">
<div>
<input type="text" v-model="name">
<button @click="add">添加</button>
</div>
<ul>
<li v-for="(item, i) in list" :key="item.id">
<input type="checkbox"> {{item.name}}
</li>
</ul>
<script>
// 创建 Vue 实例,得到 ViewModel
var vm = new Vue({
el: '#app',
data: {
name: '',
newId: 3,
list: [
{ id: 1, name: '李斯' },
{ id: 2, name: '吕不韦' },
{ id: 3, name: '嬴政' }
]
},
methods: {
add() {
//注意这里是unshift
this.list.unshift({ id: ++this.newId, name: this.name })
this.name = ''
}
}
});
</script>
</div>
同样当选中吕不为时,添加楠楠后依旧选中的是吕不为。

key2.jpg
可以简单的这样理解:加了key(一定要具有唯一性) id的checkbox跟内容进行了一个关联。是我们想达到的效果
查过相关文档,图例说明很清晰。
vue和react的虚拟DOM的Diff算法大致相同,其核心是基于两个简单的假设
首先讲一下diff算法的处理方法,对操作前后的dom树同一层的节点进行对比,一层一层对比,如下图:
before.png
当某一层有很多相同的节点时,也就是列表节点时,Diff算法的更新过程默认情况下也是遵循以上原则。
比如一下这个情况:

3297464-ee627869a6714336.jpg
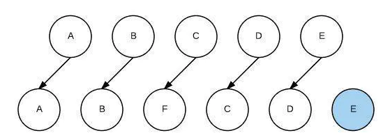
我们希望可以在B和C之间加一个F,Diff算法默认执行起来是这样的:

3297464-d912523aac5fd108.jpg
即把C更新成F,D更新成C,E更新成D,最后再插入E,是不是很没有效率?
所以我们需要使用key来给每个节点做一个唯一标识,Diff算法就可以正确的识别此节点,找到正确的位置区插入新的节点。

3297464-650689b4bd4b9eb6.jpg
vue中列表循环需加:key="唯一标识" 唯一标识可以是item里面id index等,因为vue组件高度复用增加Key可以标识组件的唯一性,为了更好地区别各个组件 key的作用主要是为了高效的更新

浙公网安备 33010602011771号