|NO.Z.00023|——————————|^^ 案例 ^^|——|Hadoop&Spark.V11|——|Spark.v11|sparkcore|算子综合案例&广告数据统计|
一、算子综合案例:广告数据统计
### --- 广告数据统计
~~~ 数据格式:timestamp province city userid adid 时间点 省份 城市 用户 广告
### --- 广告数据统计案例需求
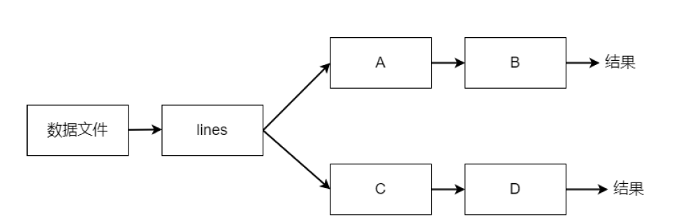
~~~ 需求: 1、统计每一个省份点击TOP3的广告ID 2、统计每一个省份每一个小时的TOP3广告ID
二、广告数据统计说明
### --- 实验说明
~~~ 在Java 8出现前的很长时间内成为Java中日期时间处理的事实标准,用来弥补JDK的不足。
~~~ Joda 类具有不可变性,它们的实例无法被修改。(不可变类的一个优点就是它们是线程安全的)
~~~ 在 Spark Core 程序中使用时间日期类型时,不要使用 Java 8 以前的时间日期类型,线程不安全。
### --- 实验执行说明
### --- 数据准备:advert.log日志文件

### --- 在pom.xml文件添加依赖
<dependency>
<groupId>joda-time</groupId>
<artifactId>joda-time</artifactId>
<version>2.9.7</version>
</dependency>
二、编程代码实现
### --- 编程代码实现:Adstat
package cn.yanqi.sparkcore
import org.apache.spark.rdd.RDD
import org.apache.spark.{SparkConf, SparkContext}
// 数据格式:时间点 省份 城市 用户 广告
object Adstat {
def main(args: Array[String]): Unit = {
// 1、创建SparkContext
val conf = new SparkConf().setAppName(this.getClass.getCanonicalName.init).setMaster("local[*]")
val sc = new SparkContext(conf)
sc.setLogLevel("WARN")
val N = 3
// 2、生成RDD
val lines: RDD[String] = sc.textFile("file:///E:\\NO.Z.80000.Hadoop.spark\\SparkBigData\\data\\advert.log")
// 3、RDD转换
// 1、统计每一个省份点击TOP3的广告ID
val stat1RDD: RDD[(String, String)] = lines.map { line =>
val fields: Array[String] = line.split("\\s+")
(fields(1), fields(4))
}
// 按省份、广告汇总
val reduce1RDD: RDD[((String, String), Int)] = stat1RDD.map { case (provice, adid) => ((provice, adid), 1) }
.reduceByKey(_ + _)
// 对以上汇总信息求Top3
reduce1RDD.map{case ((provice, adid), count) => (provice, (adid, count))}
.groupByKey()
.mapValues(buf => buf.toList.sortWith(_._2 > _._2).take(N).map(_._1).mkString(":"))
.foreach(println)
// 2、统计每一个省份每一个小时的TOP3广告ID
lines.map { line =>
val fields: Array[String] = line.split("\\s+")
((getHour(fields(0)), fields(1), fields(4)), 1)
}.reduceByKey(_+_)
.map{case ((hour, provice, adid), count) => ((provice, hour), (adid, count))}
.groupByKey()
.mapValues(buf => buf.toList.sortWith(_._2 > _._2).take(N).map(_._1).mkString(":"))
.collect.foreach(println)
// 5、关闭SparkContext
sc.stop()
}
def getHour(str: String): Int = {
import org.joda.time.DateTime
val dt = new DateTime(str.toLong)
dt.getHourOfDay
}
}
### --- 编译打印
D:\JAVA\jdk1.8.0_231\bin\java.exe "-javaagent:D:\IntelliJIDEA\IntelliJ IDEA 2019.3.3\lib\idea_rt.jar=62788:D:\IntelliJIDEA\IntelliJ IDEA 2019.3.3\bin" -Dfile.encoding=UTF-8 -classpath D:\JAVA\jdk1.8.0_231\jre\lib\charsets.jar;D:\JAVA\jdk1.8.0_231\jre\lib\deploy.jar;D:\JAVA\jdk1.8.0_231\jre\lib\ext\access-bridge-64.jar;D:\JAVA\jdk1.8.0_231\jre\lib\ext\cldrdata.jar;D:\JAVA\jdk1.8.0_231\jre\lib\ext\dnsns.jar;D:\JAVA\jdk1.8.0_231\jre\lib\ext\jaccess.jar;D:\JAVA\jdk1.8.0_231\jre\lib\ext\jfxrt.jar;D:\JAVA\jdk1.8.0_231\jre\lib\ext\localedata.jar;D:\JAVA\jdk1.8.0_231\jre\lib\ext\nashorn.jar;D:\JAVA\jdk1.8.0_231\jre\lib\ext\sunec.jar;D:\JAVA\jdk1.8.0_231\jre\lib\ext\sunjce_provider.jar;D:\JAVA\jdk1.8.0_231\jre\lib\ext\sunmscapi.jar;D:\JAVA\jdk1.8.0_231\jre\lib\ext\sunpkcs11.jar;D:\JAVA\jdk1.8.0_231\jre\lib\ext\zipfs.jar;D:\JAVA\jdk1.8.0_231\jre\lib\javaws.jar;D:\JAVA\jdk1.8.0_231\jre\lib\jce.jar;D:\JAVA\jdk1.8.0_231\jre\lib\jfr.jar;D:\JAVA\jdk1.8.0_231\jre\lib\jfxswt.jar;D:\JAVA\jdk1.8.0_231\jre\lib\jsse.jar;D:\JAVA\jdk1.8.0_231\jre\lib\management-agent.jar;D:\JAVA\jdk1.8.0_231\jre\lib\plugin.jar;D:\JAVA\jdk1.8.0_231\jre\lib\resources.jar;D:\JAVA\jdk1.8.0_231\jre\lib\rt.jar;E:\NO.Z.80000.Hadoop.spark\SparkBigData\target\classes;C:\Users\Administrator\.m2\repository\org\scala-lang\scala-library\2.12.10\scala-library-2.12.10.jar;C:\Users\Administrator\.m2\repository\org\apache\spark\spark-core_2.12\2.4.5\spark-core_2.12-2.4.5.jar;C:\Users\Administrator\.m2\repository\com\thoughtworks\paranamer\paranamer\2.8\paranamer-2.8.jar;C:\Users\Administrator\.m2\repository\org\apache\avro\avro\1.8.2\avro-1.8.2.jar;C:\Users\Administrator\.m2\repository\org\codehaus\jackson\jackson-core-asl\1.9.13\jackson-core-asl-1.9.13.jar;C:\Users\Administrator\.m2\repository\org\apache\commons\commons-compress\1.8.1\commons-compress-1.8.1.jar;C:\Users\Administrator\.m2\repository\org\tukaani\xz\1.5\xz-1.5.jar;C:\Users\Administrator\.m2\repository\org\apache\avro\avro-mapred\1.8.2\avro-mapred-1.8.2-hadoop2.jar;C:\Users\Administrator\.m2\repository\org\apache\avro\avro-ipc\1.8.2\avro-ipc-1.8.2.jar;C:\Users\Administrator\.m2\repository\com\twitter\chill_2.12\0.9.3\chill_2.12-0.9.3.jar;C:\Users\Administrator\.m2\repository\com\esotericsoftware\kryo-shaded\4.0.2\kryo-shaded-4.0.2.jar;C:\Users\Administrator\.m2\repository\com\esotericsoftware\minlog\1.3.0\minlog-1.3.0.jar;C:\Users\Administrator\.m2\repository\org\objenesis\objenesis\2.5.1\objenesis-2.5.1.jar;C:\Users\Administrator\.m2\repository\com\twitter\chill-java\0.9.3\chill-java-0.9.3.jar;C:\Users\Administrator\.m2\repository\org\apache\xbean\xbean-asm6-shaded\4.8\xbean-asm6-shaded-4.8.jar;C:\Users\Administrator\.m2\repository\org\apache\hadoop\hadoop-client\2.6.5\hadoop-client-2.6.5.jar;C:\Users\Administrator\.m2\repository\org\apache\hadoop\hadoop-common\2.6.5\hadoop-common-2.6.5.jar;C:\Users\Administrator\.m2\repository\xmlenc\xmlenc\0.52\xmlenc-0.52.jar;C:\Users\Administrator\.m2\repository\commons-collections\commons-collections\3.2.2\commons-collections-3.2.2.jar;C:\Users\Administrator\.m2\repository\commons-configuration\commons-configuration\1.6\commons-configuration-1.6.jar;C:\Users\Administrator\.m2\repository\commons-digester\commons-digester\1.8\commons-digester-1.8.jar;C:\Users\Administrator\.m2\repository\commons-beanutils\commons-beanutils\1.7.0\commons-beanutils-1.7.0.jar;C:\Users\Administrator\.m2\repository\com\google\code\gson\gson\2.2.4\gson-2.2.4.jar;C:\Users\Administrator\.m2\repository\org\apache\hadoop\hadoop-auth\2.6.5\hadoop-auth-2.6.5.jar;C:\Users\Administrator\.m2\repository\org\apache\directory\server\apacheds-kerberos-codec\2.0.0-M15\apacheds-kerberos-codec-2.0.0-M15.jar;C:\Users\Administrator\.m2\repository\org\apache\directory\server\apacheds-i18n\2.0.0-M15\apacheds-i18n-2.0.0-M15.jar;C:\Users\Administrator\.m2\repository\org\apache\directory\api\api-asn1-api\1.0.0-M20\api-asn1-api-1.0.0-M20.jar;C:\Users\Administrator\.m2\repository\org\apache\directory\api\api-util\1.0.0-M20\api-util-1.0.0-M20.jar;C:\Users\Administrator\.m2\repository\org\apache\curator\curator-client\2.6.0\curator-client-2.6.0.jar;C:\Users\Administrator\.m2\repository\org\htrace\htrace-core\3.0.4\htrace-core-3.0.4.jar;C:\Users\Administrator\.m2\repository\org\apache\hadoop\hadoop-hdfs\2.6.5\hadoop-hdfs-2.6.5.jar;C:\Users\Administrator\.m2\repository\org\mortbay\jetty\jetty-util\6.1.26\jetty-util-6.1.26.jar;C:\Users\Administrator\.m2\repository\xerces\xercesImpl\2.9.1\xercesImpl-2.9.1.jar;C:\Users\Administrator\.m2\repository\xml-apis\xml-apis\1.3.04\xml-apis-1.3.04.jar;C:\Users\Administrator\.m2\repository\org\apache\hadoop\hadoop-mapreduce-client-app\2.6.5\hadoop-mapreduce-client-app-2.6.5.jar;C:\Users\Administrator\.m2\repository\org\apache\hadoop\hadoop-mapreduce-client-common\2.6.5\hadoop-mapreduce-client-common-2.6.5.jar;C:\Users\Administrator\.m2\repository\org\apache\hadoop\hadoop-yarn-client\2.6.5\hadoop-yarn-client-2.6.5.jar;C:\Users\Administrator\.m2\repository\org\apache\hadoop\hadoop-yarn-server-common\2.6.5\hadoop-yarn-server-common-2.6.5.jar;C:\Users\Administrator\.m2\repository\org\apache\hadoop\hadoop-mapreduce-client-shuffle\2.6.5\hadoop-mapreduce-client-shuffle-2.6.5.jar;C:\Users\Administrator\.m2\repository\org\apache\hadoop\hadoop-yarn-api\2.6.5\hadoop-yarn-api-2.6.5.jar;C:\Users\Administrator\.m2\repository\org\apache\hadoop\hadoop-mapreduce-client-core\2.6.5\hadoop-mapreduce-client-core-2.6.5.jar;C:\Users\Administrator\.m2\repository\org\apache\hadoop\hadoop-yarn-common\2.6.5\hadoop-yarn-common-2.6.5.jar;C:\Users\Administrator\.m2\repository\javax\xml\bind\jaxb-api\2.2.2\jaxb-api-2.2.2.jar;C:\Users\Administrator\.m2\repository\javax\xml\stream\stax-api\1.0-2\stax-api-1.0-2.jar;C:\Users\Administrator\.m2\repository\org\codehaus\jackson\jackson-jaxrs\1.9.13\jackson-jaxrs-1.9.13.jar;C:\Users\Administrator\.m2\repository\org\codehaus\jackson\jackson-xc\1.9.13\jackson-xc-1.9.13.jar;C:\Users\Administrator\.m2\repository\org\apache\hadoop\hadoop-mapreduce-client-jobclient\2.6.5\hadoop-mapreduce-client-jobclient-2.6.5.jar;C:\Users\Administrator\.m2\repository\org\apache\hadoop\hadoop-annotations\2.6.5\hadoop-annotations-2.6.5.jar;C:\Users\Administrator\.m2\repository\org\apache\spark\spark-launcher_2.12\2.4.5\spark-launcher_2.12-2.4.5.jar;C:\Users\Administrator\.m2\repository\org\apache\spark\spark-kvstore_2.12\2.4.5\spark-kvstore_2.12-2.4.5.jar;C:\Users\Administrator\.m2\repository\org\fusesource\leveldbjni\leveldbjni-all\1.8\leveldbjni-all-1.8.jar;C:\Users\Administrator\.m2\repository\com\fasterxml\jackson\core\jackson-core\2.6.7\jackson-core-2.6.7.jar;C:\Users\Administrator\.m2\repository\com\fasterxml\jackson\core\jackson-annotations\2.6.7\jackson-annotations-2.6.7.jar;C:\Users\Administrator\.m2\repository\org\apache\spark\spark-network-common_2.12\2.4.5\spark-network-common_2.12-2.4.5.jar;C:\Users\Administrator\.m2\repository\org\apache\spark\spark-network-shuffle_2.12\2.4.5\spark-network-shuffle_2.12-2.4.5.jar;C:\Users\Administrator\.m2\repository\org\apache\spark\spark-unsafe_2.12\2.4.5\spark-unsafe_2.12-2.4.5.jar;C:\Users\Administrator\.m2\repository\javax\activation\activation\1.1.1\activation-1.1.1.jar;C:\Users\Administrator\.m2\repository\org\apache\curator\curator-recipes\2.6.0\curator-recipes-2.6.0.jar;C:\Users\Administrator\.m2\repository\org\apache\curator\curator-framework\2.6.0\curator-framework-2.6.0.jar;C:\Users\Administrator\.m2\repository\com\google\guava\guava\16.0.1\guava-16.0.1.jar;C:\Users\Administrator\.m2\repository\org\apache\zookeeper\zookeeper\3.4.6\zookeeper-3.4.6.jar;C:\Users\Administrator\.m2\repository\javax\servlet\javax.servlet-api\3.1.0\javax.servlet-api-3.1.0.jar;C:\Users\Administrator\.m2\repository\org\apache\commons\commons-lang3\3.5\commons-lang3-3.5.jar;C:\Users\Administrator\.m2\repository\org\apache\commons\commons-math3\3.4.1\commons-math3-3.4.1.jar;C:\Users\Administrator\.m2\repository\com\google\code\findbugs\jsr305\1.3.9\jsr305-1.3.9.jar;C:\Users\Administrator\.m2\repository\org\slf4j\slf4j-api\1.7.16\slf4j-api-1.7.16.jar;C:\Users\Administrator\.m2\repository\org\slf4j\jul-to-slf4j\1.7.16\jul-to-slf4j-1.7.16.jar;C:\Users\Administrator\.m2\repository\org\slf4j\jcl-over-slf4j\1.7.16\jcl-over-slf4j-1.7.16.jar;C:\Users\Administrator\.m2\repository\log4j\log4j\1.2.17\log4j-1.2.17.jar;C:\Users\Administrator\.m2\repository\org\slf4j\slf4j-log4j12\1.7.16\slf4j-log4j12-1.7.16.jar;C:\Users\Administrator\.m2\repository\com\ning\compress-lzf\1.0.3\compress-lzf-1.0.3.jar;C:\Users\Administrator\.m2\repository\org\xerial\snappy\snappy-java\1.1.7.3\snappy-java-1.1.7.3.jar;C:\Users\Administrator\.m2\repository\org\lz4\lz4-java\1.4.0\lz4-java-1.4.0.jar;C:\Users\Administrator\.m2\repository\com\github\luben\zstd-jni\1.3.2-2\zstd-jni-1.3.2-2.jar;C:\Users\Administrator\.m2\repository\org\roaringbitmap\RoaringBitmap\0.7.45\RoaringBitmap-0.7.45.jar;C:\Users\Administrator\.m2\repository\org\roaringbitmap\shims\0.7.45\shims-0.7.45.jar;C:\Users\Administrator\.m2\repository\commons-net\commons-net\3.1\commons-net-3.1.jar;C:\Users\Administrator\.m2\repository\org\json4s\json4s-jackson_2.12\3.5.3\json4s-jackson_2.12-3.5.3.jar;C:\Users\Administrator\.m2\repository\org\json4s\json4s-core_2.12\3.5.3\json4s-core_2.12-3.5.3.jar;C:\Users\Administrator\.m2\repository\org\json4s\json4s-ast_2.12\3.5.3\json4s-ast_2.12-3.5.3.jar;C:\Users\Administrator\.m2\repository\org\json4s\json4s-scalap_2.12\3.5.3\json4s-scalap_2.12-3.5.3.jar;C:\Users\Administrator\.m2\repository\org\scala-lang\modules\scala-xml_2.12\1.0.6\scala-xml_2.12-1.0.6.jar;C:\Users\Administrator\.m2\repository\org\glassfish\jersey\core\jersey-client\2.22.2\jersey-client-2.22.2.jar;C:\Users\Administrator\.m2\repository\javax\ws\rs\javax.ws.rs-api\2.0.1\javax.ws.rs-api-2.0.1.jar;C:\Users\Administrator\.m2\repository\org\glassfish\hk2\hk2-api\2.4.0-b34\hk2-api-2.4.0-b34.jar;C:\Users\Administrator\.m2\repository\org\glassfish\hk2\hk2-utils\2.4.0-b34\hk2-utils-2.4.0-b34.jar;C:\Users\Administrator\.m2\repository\org\glassfish\hk2\external\aopalliance-repackaged\2.4.0-b34\aopalliance-repackaged-2.4.0-b34.jar;C:\Users\Administrator\.m2\repository\org\glassfish\hk2\external\javax.inject\2.4.0-b34\javax.inject-2.4.0-b34.jar;C:\Users\Administrator\.m2\repository\org\glassfish\hk2\hk2-locator\2.4.0-b34\hk2-locator-2.4.0-b34.jar;C:\Users\Administrator\.m2\repository\org\javassist\javassist\3.18.1-GA\javassist-3.18.1-GA.jar;C:\Users\Administrator\.m2\repository\org\glassfish\jersey\core\jersey-common\2.22.2\jersey-common-2.22.2.jar;C:\Users\Administrator\.m2\repository\javax\annotation\javax.annotation-api\1.2\javax.annotation-api-1.2.jar;C:\Users\Administrator\.m2\repository\org\glassfish\jersey\bundles\repackaged\jersey-guava\2.22.2\jersey-guava-2.22.2.jar;C:\Users\Administrator\.m2\repository\org\glassfish\hk2\osgi-resource-locator\1.0.1\osgi-resource-locator-1.0.1.jar;C:\Users\Administrator\.m2\repository\org\glassfish\jersey\core\jersey-server\2.22.2\jersey-server-2.22.2.jar;C:\Users\Administrator\.m2\repository\org\glassfish\jersey\media\jersey-media-jaxb\2.22.2\jersey-media-jaxb-2.22.2.jar;C:\Users\Administrator\.m2\repository\javax\validation\validation-api\1.1.0.Final\validation-api-1.1.0.Final.jar;C:\Users\Administrator\.m2\repository\org\glassfish\jersey\containers\jersey-container-servlet\2.22.2\jersey-container-servlet-2.22.2.jar;C:\Users\Administrator\.m2\repository\org\glassfish\jersey\containers\jersey-container-servlet-core\2.22.2\jersey-container-servlet-core-2.22.2.jar;C:\Users\Administrator\.m2\repository\io\netty\netty-all\4.1.42.Final\netty-all-4.1.42.Final.jar;C:\Users\Administrator\.m2\repository\io\netty\netty\3.9.9.Final\netty-3.9.9.Final.jar;C:\Users\Administrator\.m2\repository\com\clearspring\analytics\stream\2.7.0\stream-2.7.0.jar;C:\Users\Administrator\.m2\repository\io\dropwizard\metrics\metrics-core\3.1.5\metrics-core-3.1.5.jar;C:\Users\Administrator\.m2\repository\io\dropwizard\metrics\metrics-jvm\3.1.5\metrics-jvm-3.1.5.jar;C:\Users\Administrator\.m2\repository\io\dropwizard\metrics\metrics-json\3.1.5\metrics-json-3.1.5.jar;C:\Users\Administrator\.m2\repository\io\dropwizard\metrics\metrics-graphite\3.1.5\metrics-graphite-3.1.5.jar;C:\Users\Administrator\.m2\repository\com\fasterxml\jackson\core\jackson-databind\2.6.7.3\jackson-databind-2.6.7.3.jar;C:\Users\Administrator\.m2\repository\com\fasterxml\jackson\module\jackson-module-scala_2.12\2.6.7.1\jackson-module-scala_2.12-2.6.7.1.jar;C:\Users\Administrator\.m2\repository\org\scala-lang\scala-reflect\2.12.1\scala-reflect-2.12.1.jar;C:\Users\Administrator\.m2\repository\com\fasterxml\jackson\module\jackson-module-paranamer\2.7.9\jackson-module-paranamer-2.7.9.jar;C:\Users\Administrator\.m2\repository\org\apache\ivy\ivy\2.4.0\ivy-2.4.0.jar;C:\Users\Administrator\.m2\repository\oro\oro\2.0.8\oro-2.0.8.jar;C:\Users\Administrator\.m2\repository\net\razorvine\pyrolite\4.13\pyrolite-4.13.jar;C:\Users\Administrator\.m2\repository\net\sf\py4j\py4j\0.10.7\py4j-0.10.7.jar;C:\Users\Administrator\.m2\repository\org\apache\spark\spark-tags_2.12\2.4.5\spark-tags_2.12-2.4.5.jar;C:\Users\Administrator\.m2\repository\org\apache\commons\commons-crypto\1.0.0\commons-crypto-1.0.0.jar;C:\Users\Administrator\.m2\repository\org\spark-project\spark\unused\1.0.0\unused-1.0.0.jar;C:\Users\Administrator\.m2\repository\org\apache\spark\spark-sql_2.12\2.4.5\spark-sql_2.12-2.4.5.jar;C:\Users\Administrator\.m2\repository\com\univocity\univocity-parsers\2.7.3\univocity-parsers-2.7.3.jar;C:\Users\Administrator\.m2\repository\org\apache\spark\spark-sketch_2.12\2.4.5\spark-sketch_2.12-2.4.5.jar;C:\Users\Administrator\.m2\repository\org\apache\spark\spark-catalyst_2.12\2.4.5\spark-catalyst_2.12-2.4.5.jar;C:\Users\Administrator\.m2\repository\org\scala-lang\modules\scala-parser-combinators_2.12\1.1.0\scala-parser-combinators_2.12-1.1.0.jar;C:\Users\Administrator\.m2\repository\org\codehaus\janino\janino\3.0.9\janino-3.0.9.jar;C:\Users\Administrator\.m2\repository\org\codehaus\janino\commons-compiler\3.0.9\commons-compiler-3.0.9.jar;C:\Users\Administrator\.m2\repository\org\antlr\antlr4-runtime\4.7\antlr4-runtime-4.7.jar;C:\Users\Administrator\.m2\repository\org\apache\orc\orc-core\1.5.5\orc-core-1.5.5-nohive.jar;C:\Users\Administrator\.m2\repository\org\apache\orc\orc-shims\1.5.5\orc-shims-1.5.5.jar;C:\Users\Administrator\.m2\repository\com\google\protobuf\protobuf-java\2.5.0\protobuf-java-2.5.0.jar;C:\Users\Administrator\.m2\repository\commons-lang\commons-lang\2.6\commons-lang-2.6.jar;C:\Users\Administrator\.m2\repository\io\airlift\aircompressor\0.10\aircompressor-0.10.jar;C:\Users\Administrator\.m2\repository\org\apache\orc\orc-mapreduce\1.5.5\orc-mapreduce-1.5.5-nohive.jar;C:\Users\Administrator\.m2\repository\org\apache\parquet\parquet-column\1.10.1\parquet-column-1.10.1.jar;C:\Users\Administrator\.m2\repository\org\apache\parquet\parquet-common\1.10.1\parquet-common-1.10.1.jar;C:\Users\Administrator\.m2\repository\org\apache\parquet\parquet-encoding\1.10.1\parquet-encoding-1.10.1.jar;C:\Users\Administrator\.m2\repository\org\apache\parquet\parquet-hadoop\1.10.1\parquet-hadoop-1.10.1.jar;C:\Users\Administrator\.m2\repository\org\apache\parquet\parquet-format\2.4.0\parquet-format-2.4.0.jar;C:\Users\Administrator\.m2\repository\org\apache\parquet\parquet-jackson\1.10.1\parquet-jackson-1.10.1.jar;C:\Users\Administrator\.m2\repository\org\apache\arrow\arrow-vector\0.10.0\arrow-vector-0.10.0.jar;C:\Users\Administrator\.m2\repository\org\apache\arrow\arrow-format\0.10.0\arrow-format-0.10.0.jar;C:\Users\Administrator\.m2\repository\org\apache\arrow\arrow-memory\0.10.0\arrow-memory-0.10.0.jar;C:\Users\Administrator\.m2\repository\com\carrotsearch\hppc\0.7.2\hppc-0.7.2.jar;C:\Users\Administrator\.m2\repository\com\vlkan\flatbuffers\1.2.0-3f79e055\flatbuffers-1.2.0-3f79e055.jar;C:\Users\Administrator\.m2\repository\joda-time\joda-time\2.9.7\joda-time-2.9.7.jar;C:\Users\Administrator\.m2\repository\mysql\mysql-connector-java\5.1.44\mysql-connector-java-5.1.44.jar;C:\Users\Administrator\.m2\repository\org\apache\spark\spark-hive_2.12\2.4.5\spark-hive_2.12-2.4.5.jar;C:\Users\Administrator\.m2\repository\com\twitter\parquet-hadoop-bundle\1.6.0\parquet-hadoop-bundle-1.6.0.jar;C:\Users\Administrator\.m2\repository\org\spark-project\hive\hive-exec\1.2.1.spark2\hive-exec-1.2.1.spark2.jar;C:\Users\Administrator\.m2\repository\commons-io\commons-io\2.4\commons-io-2.4.jar;C:\Users\Administrator\.m2\repository\javolution\javolution\5.5.1\javolution-5.5.1.jar;C:\Users\Administrator\.m2\repository\log4j\apache-log4j-extras\1.2.17\apache-log4j-extras-1.2.17.jar;C:\Users\Administrator\.m2\repository\org\antlr\antlr-runtime\3.4\antlr-runtime-3.4.jar;C:\Users\Administrator\.m2\repository\org\antlr\stringtemplate\3.2.1\stringtemplate-3.2.1.jar;C:\Users\Administrator\.m2\repository\antlr\antlr\2.7.7\antlr-2.7.7.jar;C:\Users\Administrator\.m2\repository\org\antlr\ST4\4.0.4\ST4-4.0.4.jar;C:\Users\Administrator\.m2\repository\com\googlecode\javaewah\JavaEWAH\0.3.2\JavaEWAH-0.3.2.jar;C:\Users\Administrator\.m2\repository\org\iq80\snappy\snappy\0.2\snappy-0.2.jar;C:\Users\Administrator\.m2\repository\stax\stax-api\1.0.1\stax-api-1.0.1.jar;C:\Users\Administrator\.m2\repository\net\sf\opencsv\opencsv\2.3\opencsv-2.3.jar;C:\Users\Administrator\.m2\repository\org\spark-project\hive\hive-metastore\1.2.1.spark2\hive-metastore-1.2.1.spark2.jar;C:\Users\Administrator\.m2\repository\com\jolbox\bonecp\0.8.0.RELEASE\bonecp-0.8.0.RELEASE.jar;C:\Users\Administrator\.m2\repository\commons-cli\commons-cli\1.2\commons-cli-1.2.jar;C:\Users\Administrator\.m2\repository\commons-logging\commons-logging\1.1.3\commons-logging-1.1.3.jar;C:\Users\Administrator\.m2\repository\org\datanucleus\datanucleus-api-jdo\3.2.6\datanucleus-api-jdo-3.2.6.jar;C:\Users\Administrator\.m2\repository\org\datanucleus\datanucleus-rdbms\3.2.9\datanucleus-rdbms-3.2.9.jar;C:\Users\Administrator\.m2\repository\commons-pool\commons-pool\1.5.4\commons-pool-1.5.4.jar;C:\Users\Administrator\.m2\repository\commons-dbcp\commons-dbcp\1.4\commons-dbcp-1.4.jar;C:\Users\Administrator\.m2\repository\javax\jdo\jdo-api\3.0.1\jdo-api-3.0.1.jar;C:\Users\Administrator\.m2\repository\javax\transaction\jta\1.1\jta-1.1.jar;C:\Users\Administrator\.m2\repository\commons-httpclient\commons-httpclient\3.1\commons-httpclient-3.1.jar;C:\Users\Administrator\.m2\repository\org\apache\calcite\calcite-avatica\1.2.0-incubating\calcite-avatica-1.2.0-incubating.jar;C:\Users\Administrator\.m2\repository\org\apache\calcite\calcite-core\1.2.0-incubating\calcite-core-1.2.0-incubating.jar;C:\Users\Administrator\.m2\repository\org\apache\calcite\calcite-linq4j\1.2.0-incubating\calcite-linq4j-1.2.0-incubating.jar;C:\Users\Administrator\.m2\repository\net\hydromatic\eigenbase-properties\1.1.5\eigenbase-properties-1.1.5.jar;C:\Users\Administrator\.m2\repository\org\apache\httpcomponents\httpclient\4.5.6\httpclient-4.5.6.jar;C:\Users\Administrator\.m2\repository\org\apache\httpcomponents\httpcore\4.4.10\httpcore-4.4.10.jar;C:\Users\Administrator\.m2\repository\org\codehaus\jackson\jackson-mapper-asl\1.9.13\jackson-mapper-asl-1.9.13.jar;C:\Users\Administrator\.m2\repository\commons-codec\commons-codec\1.10\commons-codec-1.10.jar;C:\Users\Administrator\.m2\repository\org\jodd\jodd-core\3.5.2\jodd-core-3.5.2.jar;C:\Users\Administrator\.m2\repository\org\datanucleus\datanucleus-core\3.2.10\datanucleus-core-3.2.10.jar;C:\Users\Administrator\.m2\repository\org\apache\thrift\libthrift\0.9.3\libthrift-0.9.3.jar;C:\Users\Administrator\.m2\repository\org\apache\thrift\libfb303\0.9.3\libfb303-0.9.3.jar;C:\Users\Administrator\.m2\repository\org\apache\derby\derby\10.12.1.1\derby-10.12.1.1.jar cn.yanqi.sparkcore.Adstat
Using Spark's default log4j profile: org/apache/spark/log4j-defaults.properties
(Hebei,7:8:3)
(Hunan,5:1:2)
(Henan,6:0:4)
(Hubei,8:6:2)
(Jiangsu,7:3:6)
((Henan,0),6:0:4)
((Hubei,0),8:6:2)
((Hunan,0),5:1:2)
((Jiangsu,0),7:3:6)
((Hebei,0),7:8:3)
Process finished with exit code 0
Walter Savage Landor:strove with none,for none was worth my strife.Nature I loved and, next to Nature, Art:I warm'd both hands before the fire of life.It sinks, and I am ready to depart
——W.S.Landor
浙公网安备 33010602011771号