环形链表2
环形链表 II
给定一个链表,返回链表开始入环的第一个节点。 如果链表无环,则返回 null。
为了表示给定链表中的环,我们使用整数 pos 来表示链表尾连接到链表中的位置(索引从 0 开始)。 如果 pos 是 -1,则在该链表中没有环。注意,pos 仅仅是用于标识环的情况,并不会作为参数传递到函数中。
说明:不允许修改给定的链表。
进阶:
你是否可以使用 O(1) 空间解决此题?
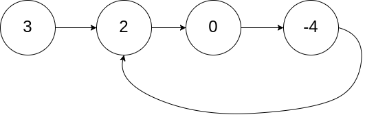
示例 1:

输入:head = [3,2,0,-4], pos = 1
输出:返回索引为 1 的链表节点
解释:链表中有一个环,其尾部连接到第二个节点。
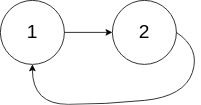
示例 2:

输入:head = [1,2], pos = 0
输出:返回索引为 0 的链表节点
解释:链表中有一个环,其尾部连接到第一个节点。
示例 3:

输入:head = [1], pos = -1
输出:返回 null
解释:链表中没有环。
提示:
链表中节点的数目范围在范围 [0, 104] 内
-105 <= Node.val <= 105
pos 的值为 -1 或者链表中的一个有效索引
/** * Definition for singly-linked list. * struct ListNode { * int val; * ListNode *next; * ListNode(int x) : val(x), next(NULL) {} * }; */ class Solution { public: ListNode *detectCycle(ListNode *head) { if(head==nullptr) return head; if(head->next==head) return head; ListNode *Head=new ListNode(0); Head->next=head;//设置虚拟头结点,防止环结点为头结点时陷入死循环 ListNode *slow=Head; ListNode *fast=Head; while(slow!=fast||(slow==Head && fast==Head)) { if(fast->next != nullptr && fast->next->next != nullptr) { slow=slow->next; fast=fast->next->next; } else { return nullptr; } }//相遇点到环结点的长度等于起点到环结点的长度 fast=Head; while(slow!=fast) { slow=slow->next; fast=fast->next; } return slow; } };
浙公网安备 33010602011771号